Open Access

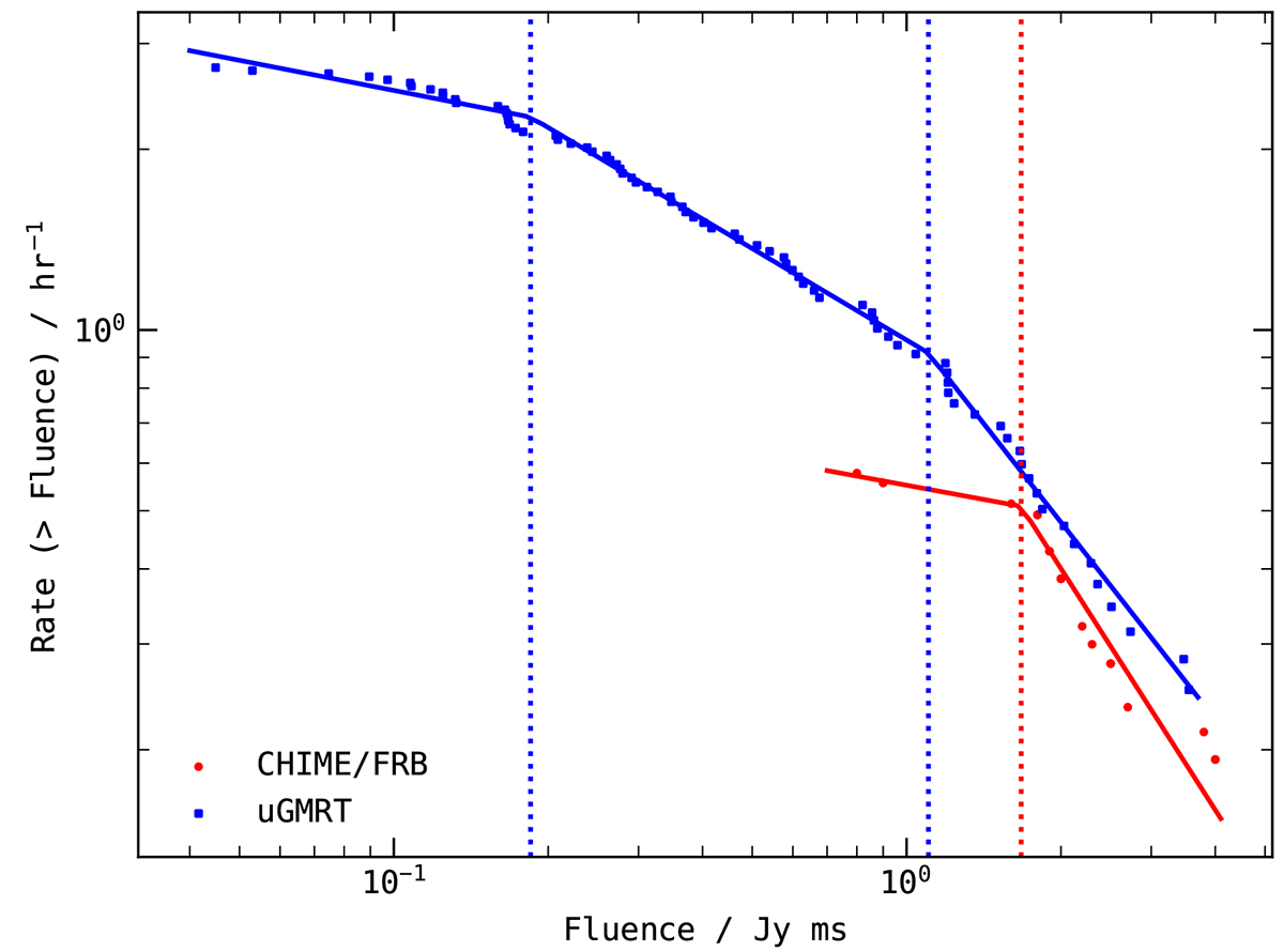
Fig. 3.

image

Download original image

Rate as a function of fluence for CHIME/FRB sample (Chime/Frb Collaboration 2020; Pleunis et al. 2021, in red) and our sample (in blue). Broken powerlaw are fitted to CHIME and our samples. The blue dotted lines are at 0.18 Jy ms and 1.10 Jy ms. The red dotted line is at 1.67 Jy ms. See text for the γ values.

Current usage metrics show cumulative count of Article Views (full-text article views including HTML views, PDF and ePub downloads, according to the available data) and Abstracts Views on Vision4Press platform.

Data correspond to usage on the plateform after 2015. The current usage metrics is available 48-96 hours after online publication and is updated daily on week days.

Initial download of the metrics may take a while.