Open Access

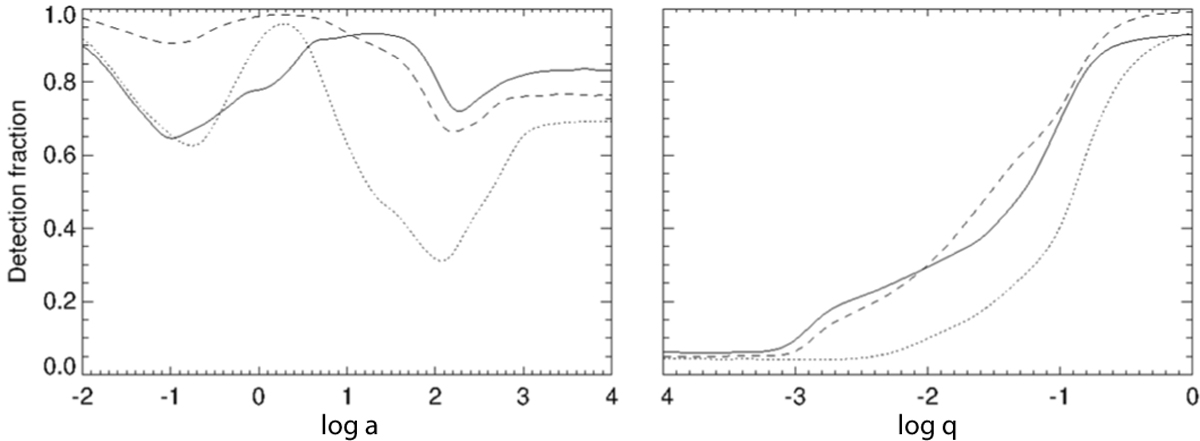
Fig. 4

image

Download original image

Average completeness of companion search as a function of semi-major axis a (left panel) and mass ratio q (right panel). The upper panel is for stellar companions alone (0.05 < q < 1); the lower panel is computed over the whole range of separations considered in this paper (−2 < log a/au < 4). In both panels, the solid line is for Ursa Major, the dotted line is for Coma Berenices, and the dashed line is for Hyades.

Current usage metrics show cumulative count of Article Views (full-text article views including HTML views, PDF and ePub downloads, according to the available data) and Abstracts Views on Vision4Press platform.

Data correspond to usage on the plateform after 2015. The current usage metrics is available 48-96 hours after online publication and is updated daily on week days.

Initial download of the metrics may take a while.