Open Access

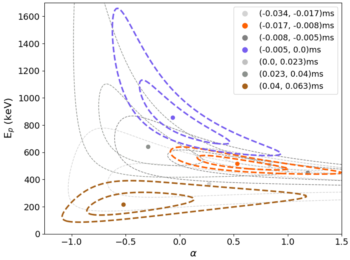
Fig. 3.

image

Download original image

Confidence contours for the time-resolved spectral analysis of GRB 231115A, corresponding to the BB intervals in Table 1. The contours represent the 50% and 90% confidence regions for the correlated parameters. Highlighted intervals illustrate spectral evolution within the burst.

Current usage metrics show cumulative count of Article Views (full-text article views including HTML views, PDF and ePub downloads, according to the available data) and Abstracts Views on Vision4Press platform.

Data correspond to usage on the plateform after 2015. The current usage metrics is available 48-96 hours after online publication and is updated daily on week days.

Initial download of the metrics may take a while.