Open Access

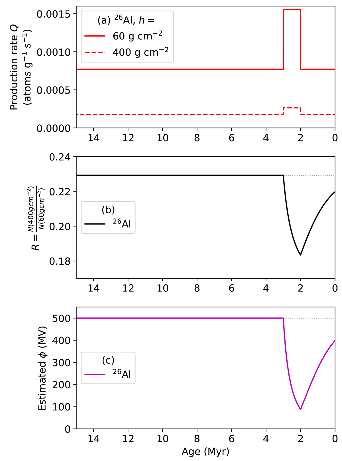
Fig. 4.

image

Download original image

Estimate of the modulation potential as a function of time. Panel (a): Production rate, Q, of 26Al at depths of 60 and 400 g cm−2 over time, the same as in Fig. 3. Panel (b): Ratio of the nuclide content, R, at two depths. Panel (c): Heliospheric modulation potential, ϕ, estimated with R from panel (b) and the curve in Fig. 2, as it would be observed at the given moment of time (age).

Current usage metrics show cumulative count of Article Views (full-text article views including HTML views, PDF and ePub downloads, according to the available data) and Abstracts Views on Vision4Press platform.

Data correspond to usage on the plateform after 2015. The current usage metrics is available 48-96 hours after online publication and is updated daily on week days.

Initial download of the metrics may take a while.