Open Access

Fig. 5.

image

Download original image

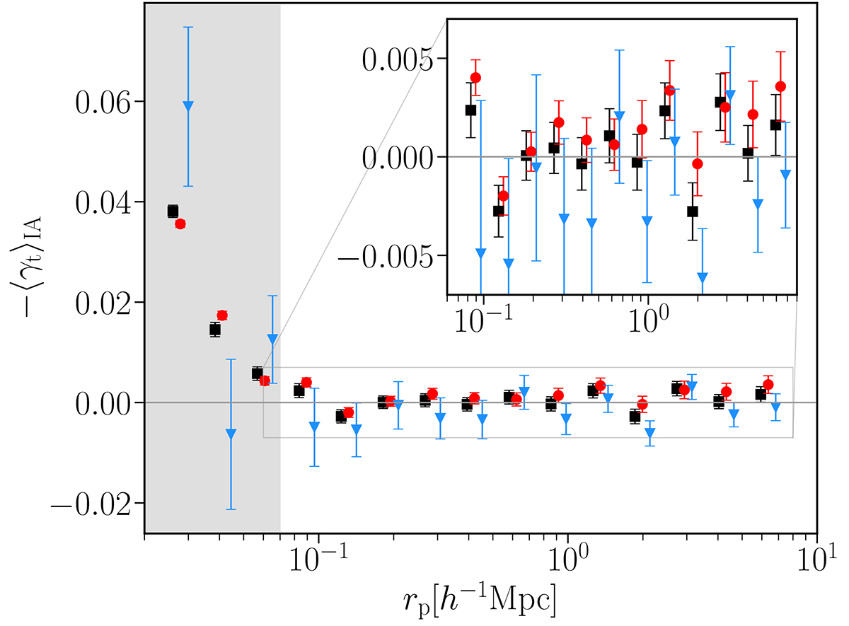
IA signal of the source galaxy sample around the LRGs, selected in narrow bins in photo-zzphot ≡ |zl − zs|< 0.06). We consider the signal from the full source sample (black squares), and its split in red/blue (red circles/blue triangles). At separations below 0.06 h−1 Mpc (grey region) blending becomes important and thus we do not consider it in the analysis. For clarity, the red and blue points are shifted horizontally.

Current usage metrics show cumulative count of Article Views (full-text article views including HTML views, PDF and ePub downloads, according to the available data) and Abstracts Views on Vision4Press platform.

Data correspond to usage on the plateform after 2015. The current usage metrics is available 48-96 hours after online publication and is updated daily on week days.

Initial download of the metrics may take a while.