Open Access

Fig. 9.

image

Download original image

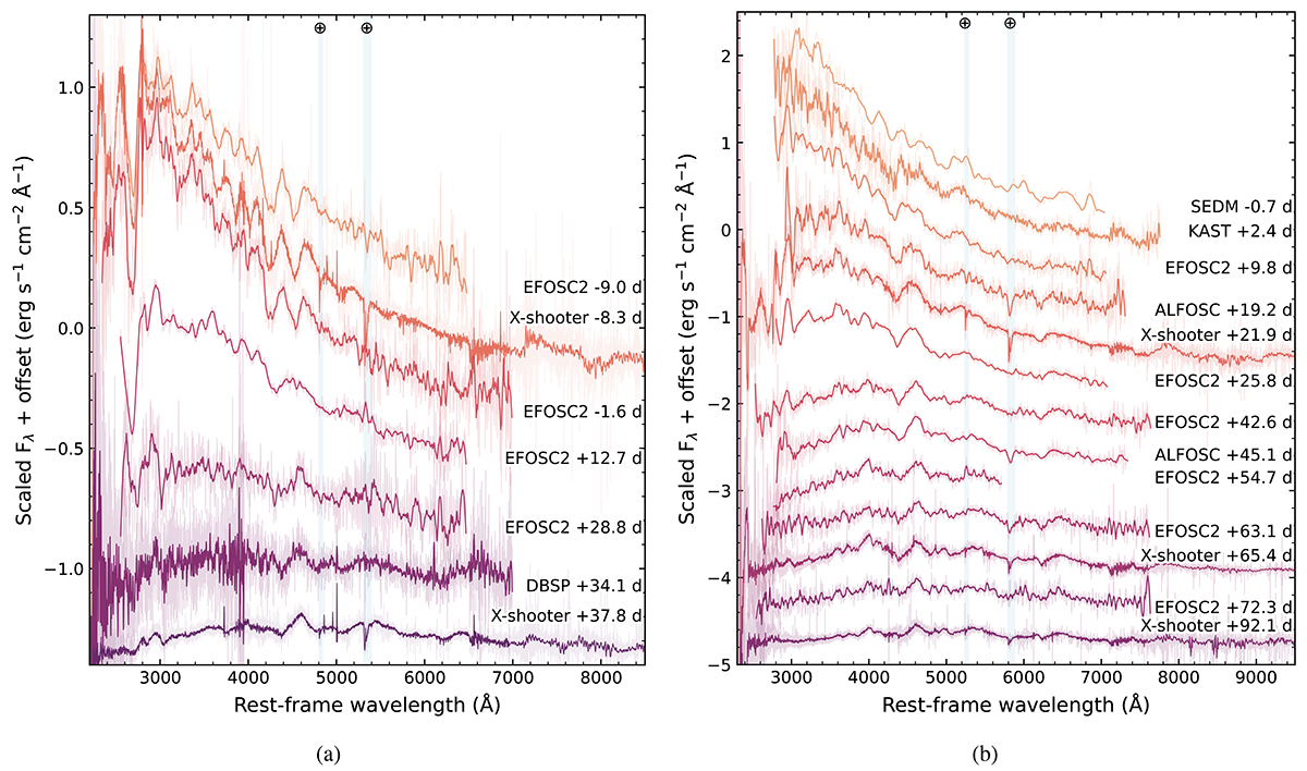
Spectral sequence of SN 2020xga (panel a) from −9 to +37.8 rest-frame days and SN 2022xgc (panel b) from −0.7 to +92.1 g-band rest-frame days. An offset in flux was applied for illustration purposes. The spectroscopic measurements have undergone absolute flux calibration to align with the photometric data. The spectra are corrected for MW extinction and are smoothed using a Savitzky-Golay filter. The original data are presented in lighter colors. Regions of strong atmospheric absorption are blue-shaded.

Current usage metrics show cumulative count of Article Views (full-text article views including HTML views, PDF and ePub downloads, according to the available data) and Abstracts Views on Vision4Press platform.

Data correspond to usage on the plateform after 2015. The current usage metrics is available 48-96 hours after online publication and is updated daily on week days.

Initial download of the metrics may take a while.