Open Access

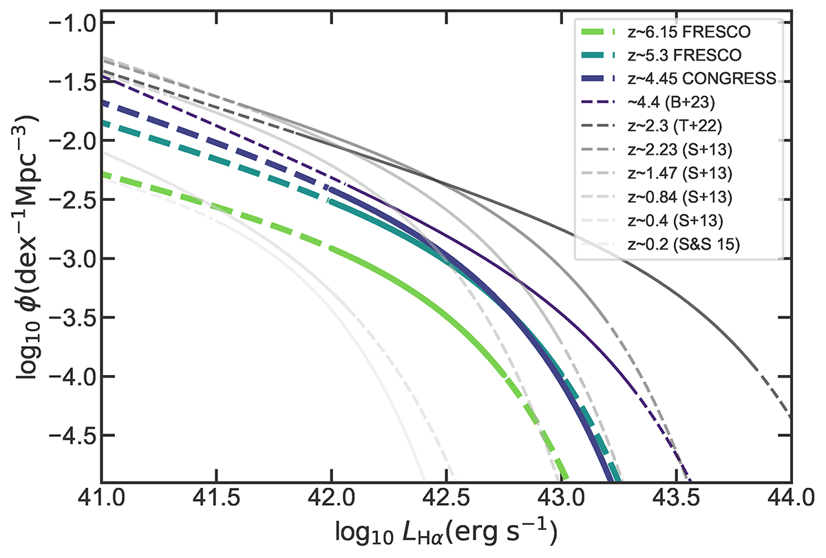
Fig. 10.

image

Download original image

Evolution of the Hα LFs across cosmic history. We compare our best-fit Hα LFs at z ∼ 4.45, z ∼ 5.3, and z ∼ 6.15, to previous results: Stroe & Sobral (2015) at z ∼ 0.2; Sobral et al. (2013) at z ∼ 0.4, 0.84, 1,47, and 2.23; Terao et al. (2022) at z ∼ 2.3; and Bollo et al. (2023) at z ∼ 4.4. Solid lines represent the regions that were probed observationally in each study. For those studies that only reported the dust-corrected luminosity functions, we inferred the uncorrected functions by reversing the dust correction applied for a fair comparison. We observe a trend of number densities increasing with decreasing redshift up to cosmic noon, to then reverse this trend and decrease until the present universe.

Current usage metrics show cumulative count of Article Views (full-text article views including HTML views, PDF and ePub downloads, according to the available data) and Abstracts Views on Vision4Press platform.

Data correspond to usage on the plateform after 2015. The current usage metrics is available 48-96 hours after online publication and is updated daily on week days.

Initial download of the metrics may take a while.