Open Access

Fig. 1.

image

Download original image

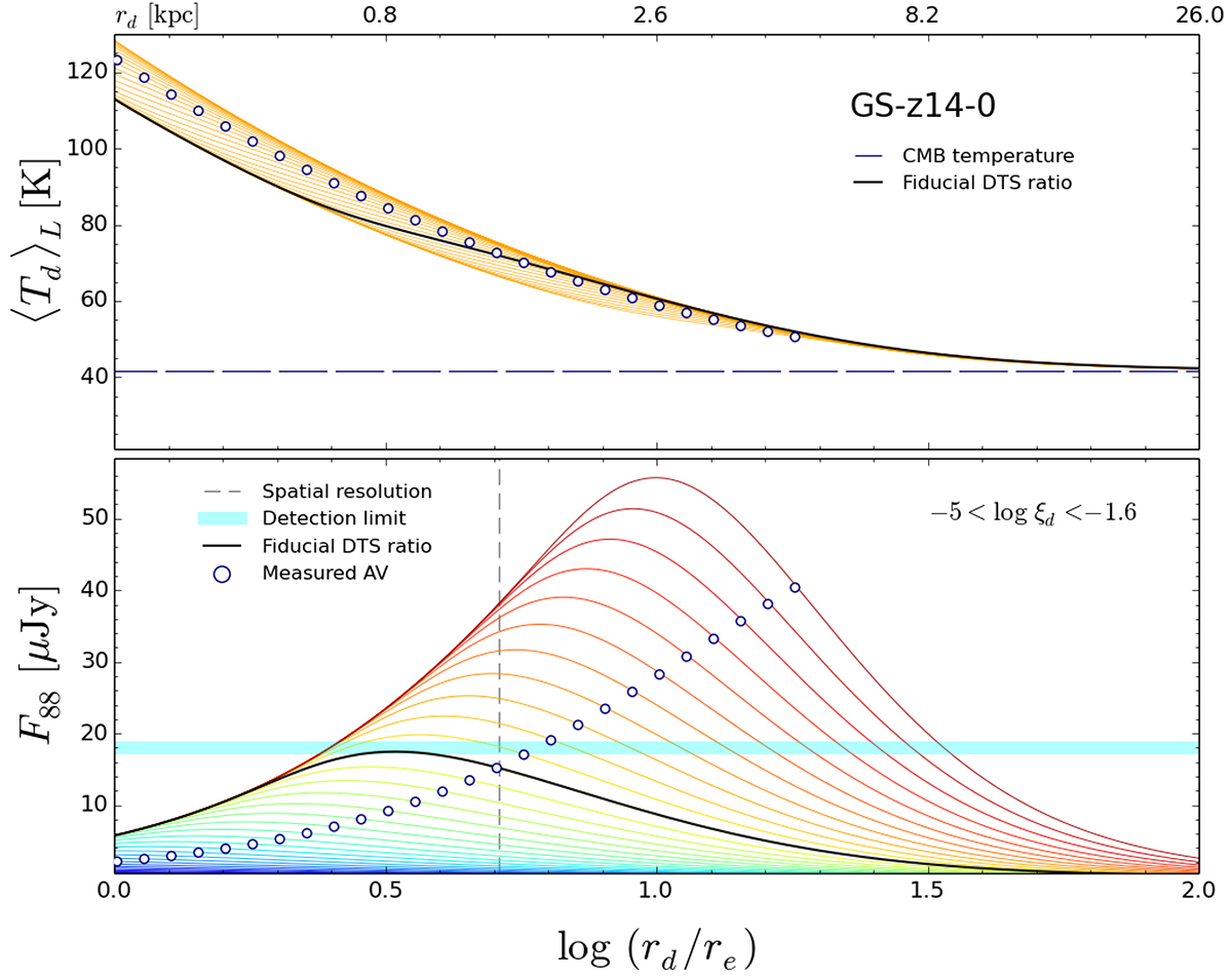
Model predictions for GS-z14-0. Top panel: temperature distribution as a function of the dust spatial distribution radius, rd, in units of the effective stellar radius of GS-z14-0, re = 260 pc. The different orange curves span the range of the dust-to-stellar ratio −5 < log ξd < −1.6, equally spaced in 0.1 logarithmic intervals. The black curve highlights the fiducial case log ξd = −2.72(ξd = 1/529). We also show the CMB temperature at the galaxy redshift z = 14.32. The circles indicate the radius for which AV of the galaxy matches the observed radius, AV = 0.31. Bottom panel: as in the top panel, but for the predicted observed flux from GS-z14-0 at 88 μ. We also show the expected 3σ sensitivity limit (18 μJy/beam) and the spatial resolution (0.418″) of the DDT 2023.A.00037.S (PI: S. Schouws) observations.

Current usage metrics show cumulative count of Article Views (full-text article views including HTML views, PDF and ePub downloads, according to the available data) and Abstracts Views on Vision4Press platform.

Data correspond to usage on the plateform after 2015. The current usage metrics is available 48-96 hours after online publication and is updated daily on week days.

Initial download of the metrics may take a while.