Press Release
Open Access

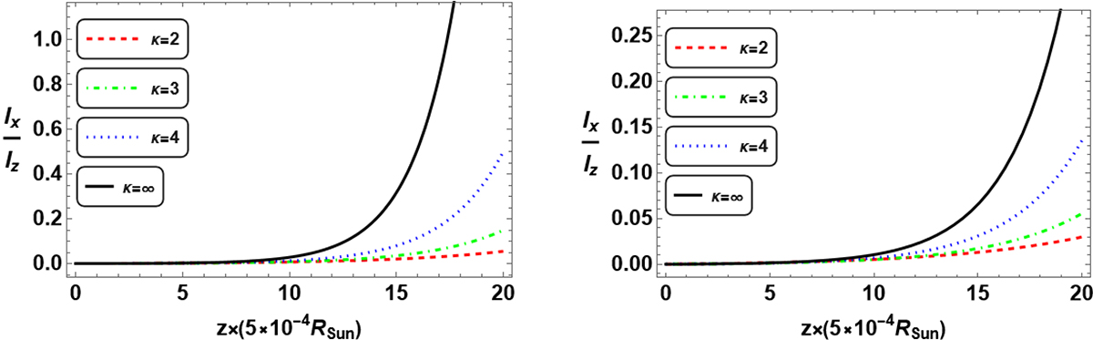
Fig. 10.

image

Download original image

The normalized power transfer rate (Ix/Iz) as a function of the normalized distance z × 0.0005 RSun, at a fixed height h = 0.1 RSun. The radius of the circular crosssection, a, is assumed to be 7 × 107 cm, with other parameters consistent with those used in Fig. 6. In the left panel, Te/Ti = 0.5, and in the right panel, Te/Ti = 0.4. The power transfer rate is significantly influenced by the suprathermal particles, characterized by κ.

Current usage metrics show cumulative count of Article Views (full-text article views including HTML views, PDF and ePub downloads, according to the available data) and Abstracts Views on Vision4Press platform.

Data correspond to usage on the plateform after 2015. The current usage metrics is available 48-96 hours after online publication and is updated daily on week days.

Initial download of the metrics may take a while.