Press Release
Open Access

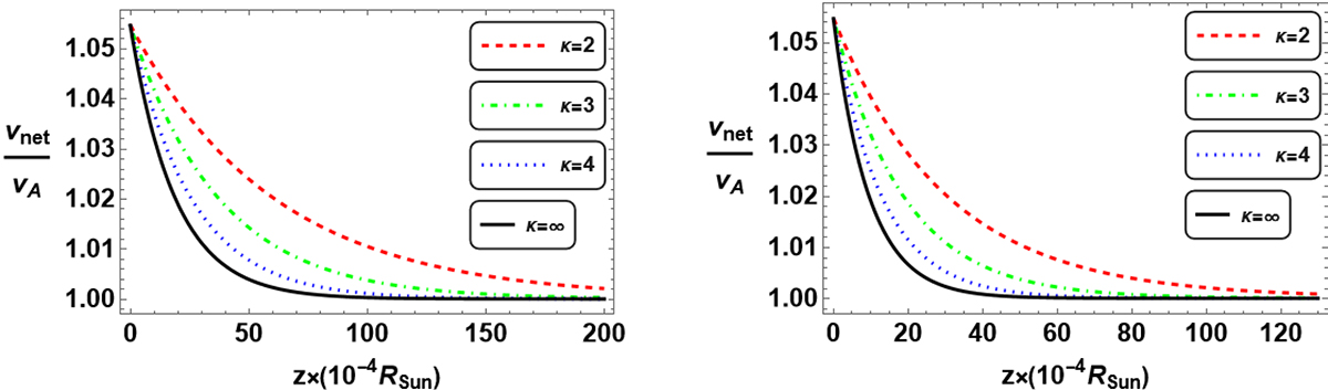
Fig. 13.

image

Download original image

Normalized parallel resonance velocity vnet/vA as a function of z(×10−4) RSun for different values of κ at fixed Te/Ti = 0.5. We assumed S(0) = 102 − 104 W cm–2 (Srivastava et al. 2017), density n0 ≈ 5 × 109 cm–3 (Morton et al. 2015), kρi ≈ 0.02, and the other parameters are the same as those in Fig. 12. In the left panel, h = 0.05 RSun and h = 0.1 RSun in the right panel.

Current usage metrics show cumulative count of Article Views (full-text article views including HTML views, PDF and ePub downloads, according to the available data) and Abstracts Views on Vision4Press platform.

Data correspond to usage on the plateform after 2015. The current usage metrics is available 48-96 hours after online publication and is updated daily on week days.

Initial download of the metrics may take a while.