Open Access

Fig. 1

image

Download original image

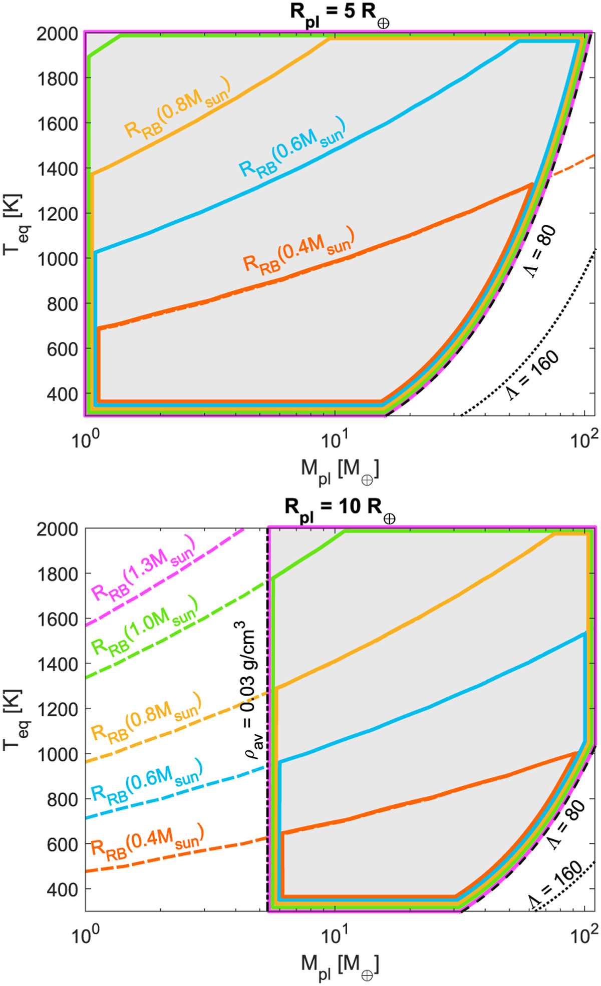
Illustration of the criteria setting the additional boundaries on the grid (see Sect. 2.1) in the Mpl-Teq plane for 5 R (top) and 10 R (bottom) planets. The dashed orange, blue, yellow, green, and violet lines marked as RRB(M*) show the upper Teq(Mpl) boundaries set by criterion II (Rroche ≥ 1.2Rpl)forplanetsorbiting0.4, 0.6, 0.8, 1.0, and 1.3 M stars, respectively. The solid line contours of the respective colours show the grid ranges in the TeqMpl plane for each of the stellar masses, with all areas sharing the same lower boundary, controlled by criterion III (dashed black line for Λ = 80; dotted black line for Λ = 160). In the bottom panel, the region on the left of the shaded area (grid ranges) is excluded by the low-density criterion I (ρ ≥ 0.03 g cm−3; dash-dotted black line).

Current usage metrics show cumulative count of Article Views (full-text article views including HTML views, PDF and ePub downloads, according to the available data) and Abstracts Views on Vision4Press platform.

Data correspond to usage on the plateform after 2015. The current usage metrics is available 48-96 hours after online publication and is updated daily on week days.

Initial download of the metrics may take a while.