Open Access

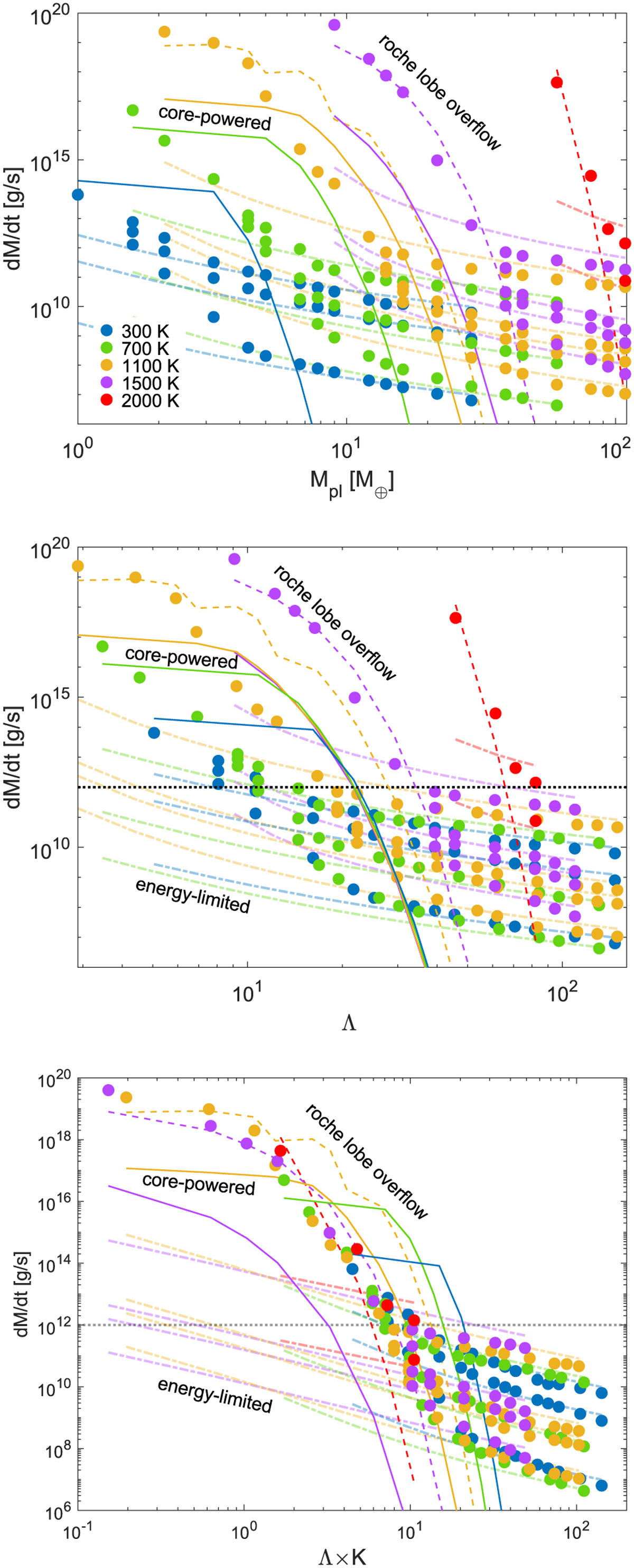
Fig. A.1

image

Download original image

Same as Fig. 2, but with more FEUV values. Multiple dash-dotted lines of the same colour show the predictions of the energy-limited approximation for different FEUV values, and the multiple sequences of circles of the same colours give the predictions of the hydrodynamic model for the corresponding FEUV values (which coincide for the low-gravity planets). The considered EUV emission values are (from the bottom to the top line or sequence of each colour): 3.0, 375.5, and 3000 erg s cm−2 for 300 K; 2.6, 89.1, and ~1.1 × 104 erg s cm−2 for 700 K; 16, 193.6, 543.3, and ~6.8 × 104 ergs cm−2 for 1100 K; 55.4, 669.6, 1878.6, and ~2.35 × 105 erg s cm−2 for 1500K; 175.2, 5937.3, and ~7.4 × 105 erg s cm−2 for 2000 K.

Current usage metrics show cumulative count of Article Views (full-text article views including HTML views, PDF and ePub downloads, according to the available data) and Abstracts Views on Vision4Press platform.

Data correspond to usage on the plateform after 2015. The current usage metrics is available 48-96 hours after online publication and is updated daily on week days.

Initial download of the metrics may take a while.