Open Access

Fig. 2

image

Download original image

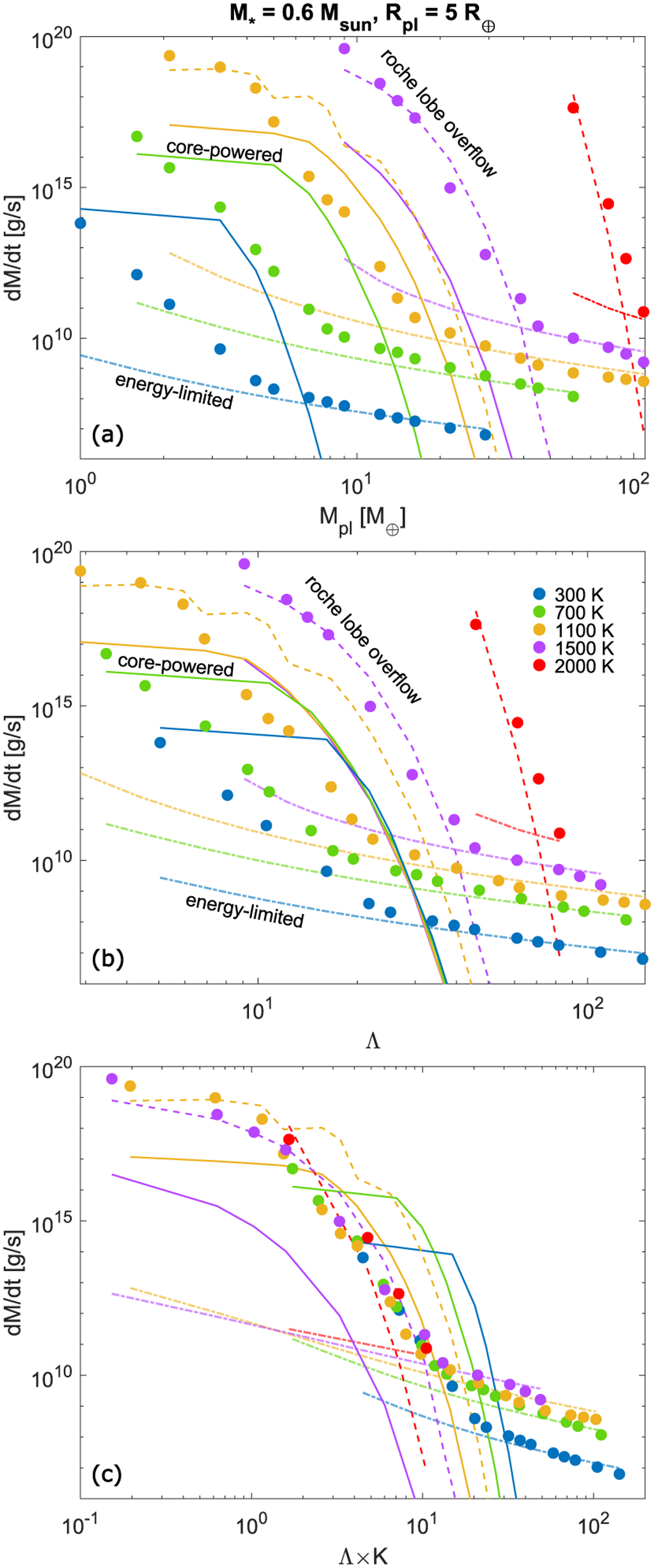
Atmospheric mass-loss rates predicted by the hydrodynamic model for planets with Rpl = 5 R and Mpl between 1 M and 108.6 M orbiting a 0.6 M star at an orbital separation corresponding to Teq values of 300K (blue circles), 700K (green circles), 1100 K (deep yellow circles), 1500 K (violet circles), and 2000 K (red circles) as a function of Mpl (top), Λ (middle), and Λ × K (bottom). Lines of different styles indicate the mass-loss rates predicted by the energy-limited approximation EL (dash-dotted), core-powered mass loss CP (solid), and Roche lobe overflow RL (dashed), with the colour of the lines following the same scheme as that of the circles. For EL, we considered the same EUV fluxes as for the hydrodynamic models shown in the plots, namely 3.0 erg s cm−2 for the orbital separation corresponding to Teq of 300 K, 89.1 erg s cm−2 for 700K, 543.3 erg scm−2 for 1100K, 1878.6 ergs cm−2 for 1500 K, and 5937.3 erg s cm−2 for 2000 K.

Current usage metrics show cumulative count of Article Views (full-text article views including HTML views, PDF and ePub downloads, according to the available data) and Abstracts Views on Vision4Press platform.

Data correspond to usage on the plateform after 2015. The current usage metrics is available 48-96 hours after online publication and is updated daily on week days.

Initial download of the metrics may take a while.