Open Access

Fig. 3.

image

Download original image

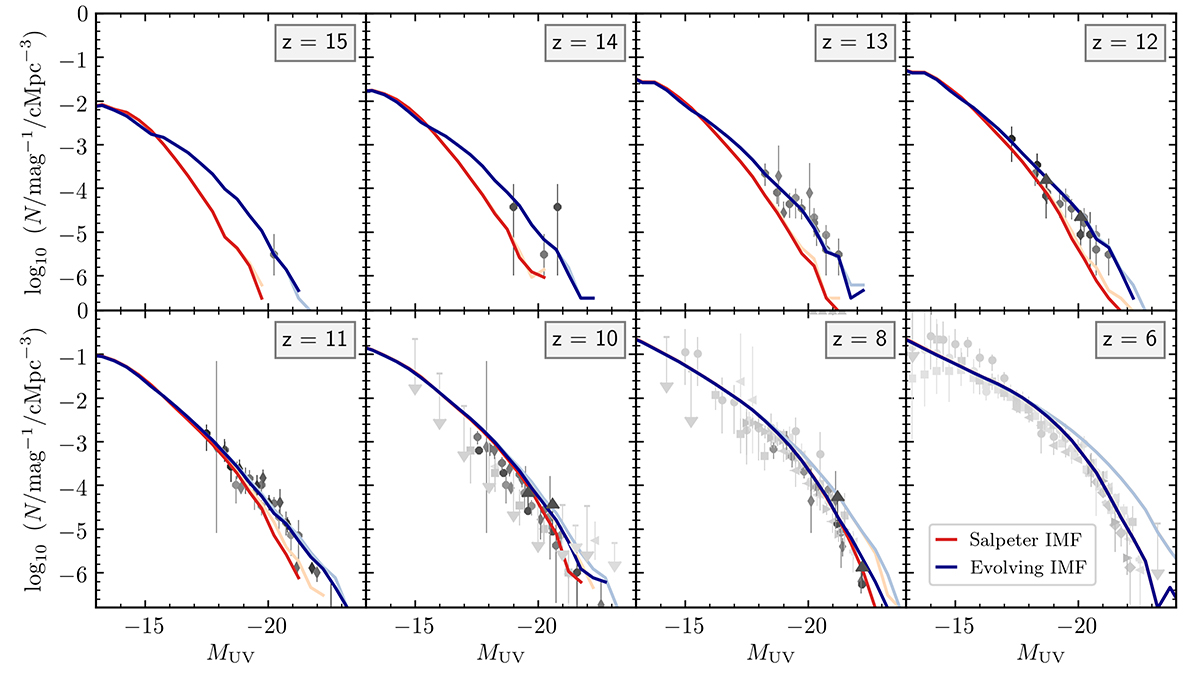
UV luminosity functions for the Salpeter IMF (red lines) and evolving IMF (blue lines) at z = 6 − 15 including (dark coloured lines) and without (light coloured lines) dust attenuation. Light grey points depict results from observations with the Hubble Space Telescope (Atek et al. 2015, 2018; Bouwens et al. 2021; Castellano et al. 2010; Ishigaki et al. 2018; Livermore et al. 2017; McLeod et al. 2015, 2016; McLure et al. 2013; Oesch et al. 2018; Schenker et al. 2013), while darker grey points show the results from JWST observations (Adams et al. 2024; Bouwens et al. 2023a,b; Donnan et al. 2023a,b, 2024; Finkelstein et al. 2023; McLeod et al. 2024; Harikane et al. 2024; Pérez-González et al. 2023).

Current usage metrics show cumulative count of Article Views (full-text article views including HTML views, PDF and ePub downloads, according to the available data) and Abstracts Views on Vision4Press platform.

Data correspond to usage on the plateform after 2015. The current usage metrics is available 48-96 hours after online publication and is updated daily on week days.

Initial download of the metrics may take a while.