Open Access

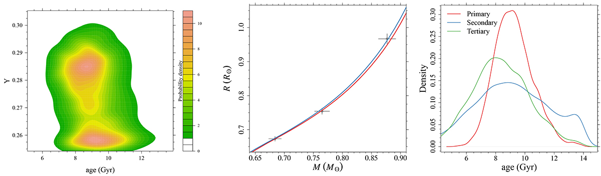
Fig. 1.

image

Download original image

Fit of the TIC 650024463 system. Left: 2D kernel density estimator of the posterior distribution of the system parameters in the Y vs. age plane. Middle: Best fitting isochrones in the mass vs. radius plane. The points indicate the derived system constraints, while solid red and blue lines correspond to S1 and S2, respectively. Right: Kernel density estimators of the age of the three stars from independent fits.

Current usage metrics show cumulative count of Article Views (full-text article views including HTML views, PDF and ePub downloads, according to the available data) and Abstracts Views on Vision4Press platform.

Data correspond to usage on the plateform after 2015. The current usage metrics is available 48-96 hours after online publication and is updated daily on week days.

Initial download of the metrics may take a while.