Open Access

Fig. 3.

image

Download original image

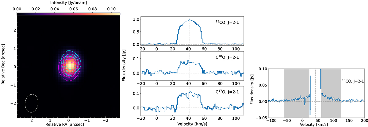
Continuum (1.3 mm) and J = 2 − 1 13CO, C18O, and C17O line emission towards GLMP 953. Left: Maps of the continuum (colour map) and high-velocity line emission (contours). The continuum peak is at α = 19 h 50 m 08 . s 203 $ \alpha = {19^{\text{ h}}50^{\text{ m}}08{{\overset{\text{ s}}{.}}}203} $ and δ = + 25 ° 11 57 . 136 $ \delta = {+25^{\circ}11{\prime}57{{\overset{\prime\prime}{.}}}136} $. The full lines show emission in the 13CO J = 2 − 1 integrated over the spectral intervals marked in grey line plot. Magenta and cyan contours mark red-shifted and blue-shifted emission, respectively, at 10%, 30%, 50%, and 70% of the peak values of 0.009 (red-shifted) and 0.007 (blue-shifted) Jy beam−1 × km s−1. Middle: Spectra of the 13CO J = 2 − 1, C18O J = 2 − 1, and C17O J = 2 − 1 lines. Right: Single-beam spectrum (to maximise the S/N of the weak emission) of the 13CO J = 2 − 1 line towards the continuum peak of GLMP 953 including a broader velocity range.

Current usage metrics show cumulative count of Article Views (full-text article views including HTML views, PDF and ePub downloads, according to the available data) and Abstracts Views on Vision4Press platform.

Data correspond to usage on the plateform after 2015. The current usage metrics is available 48-96 hours after online publication and is updated daily on week days.

Initial download of the metrics may take a while.