Open Access

Fig. 17.

image

Download original image

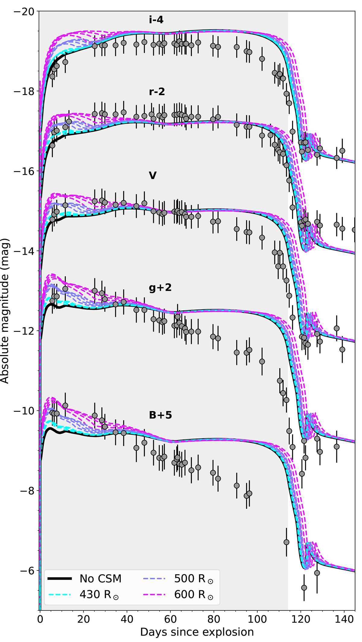
Multi-band model light curves for scenarios with ‘No CSM’ and CSM extents of 430, 500 and 600 R, with KCSM values of 2, 3, 4, and 5 × 1018 g cm−1, are shown alongside the observed light curves. The shaded region marks the area below tPT, after which non-LTE conditions dominate, making SNEC models invalid.

Current usage metrics show cumulative count of Article Views (full-text article views including HTML views, PDF and ePub downloads, according to the available data) and Abstracts Views on Vision4Press platform.

Data correspond to usage on the plateform after 2015. The current usage metrics is available 48-96 hours after online publication and is updated daily on week days.

Initial download of the metrics may take a while.