Open Access

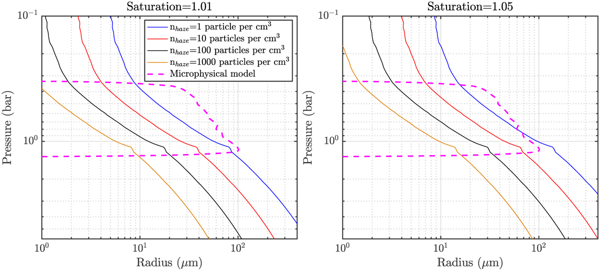
Fig. 12

image

Download original image

Comparison between the mean droplet radius obtained from CMM for Uranus atmosphere and Keddy(p ≥ 0.4 bars) = 0.5 m2 s−1 and the values obtained from Eq. (4) for different CCN concentrations and a saturation of 1.05. For the estimation of the mean radius from Eq. (4), we assume all methane in excess of the saturation ends up condensing.

Current usage metrics show cumulative count of Article Views (full-text article views including HTML views, PDF and ePub downloads, according to the available data) and Abstracts Views on Vision4Press platform.

Data correspond to usage on the plateform after 2015. The current usage metrics is available 48-96 hours after online publication and is updated daily on week days.

Initial download of the metrics may take a while.