Open Access

Fig. 8

image

Download original image

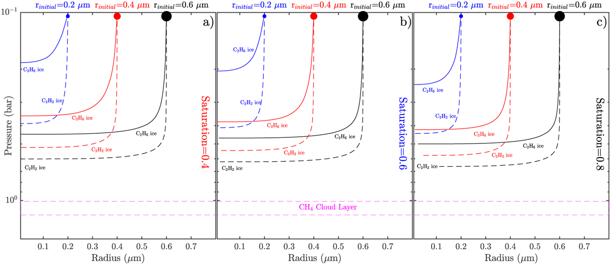
Decrease in the radius of a haze particle made of C2H2 and C2H6 ice in Uranus atmosphere due to evaporation, for different initial radii at p=0.1 bar and saturation conditions (0.4, 0.6, and 0.8). The evaporation rates and terminal velocities are derived from the integration of Eqs. (2)(3), considering a single particle with the initial radius shown in the upper part of the figures. In all the cases the haze particle get totally evaporated before reaching the 1.2 bar level layer.

Current usage metrics show cumulative count of Article Views (full-text article views including HTML views, PDF and ePub downloads, according to the available data) and Abstracts Views on Vision4Press platform.

Data correspond to usage on the plateform after 2015. The current usage metrics is available 48-96 hours after online publication and is updated daily on week days.

Initial download of the metrics may take a while.