Open Access

Fig. 2.

image

Download original image

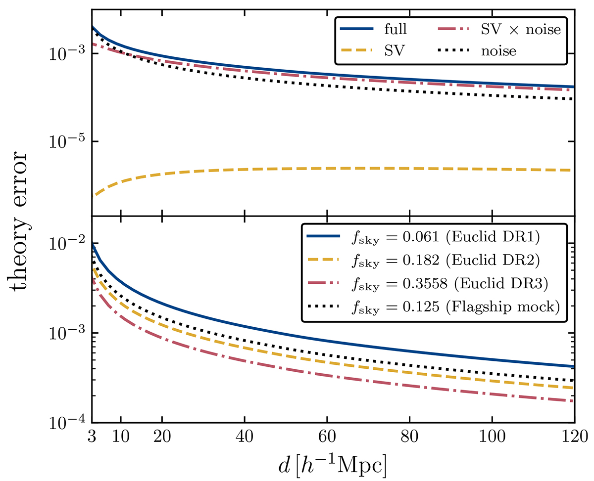
Theory uncertainty, given by the square root of the diagonal elements of the theory covariance, estimated for the redshift bin z ¯ = 1 $ \bar{z} = 1 $, with specifics from Table B.1, split ‘90% faint, 10% bright’. We have assumed a bin size of Δd = 2 h−1 Mpc. The top panel shows the different contributions to the uncertainty, coming from the pure shot noise term (black dotted line), the purely sample variance term (yellow dashed line), and the cross-term (red dot-dashed line). The sum of all contributions is shown as solid blue line. The bottom panel shows the theory uncertainty, including all terms, for different sky coverages corresponding to the planned data releases of Euclid and the Flagship mock used in this work.

Current usage metrics show cumulative count of Article Views (full-text article views including HTML views, PDF and ePub downloads, according to the available data) and Abstracts Views on Vision4Press platform.

Data correspond to usage on the plateform after 2015. The current usage metrics is available 48-96 hours after online publication and is updated daily on week days.

Initial download of the metrics may take a while.