Open Access

Fig. 7.

image

Download original image

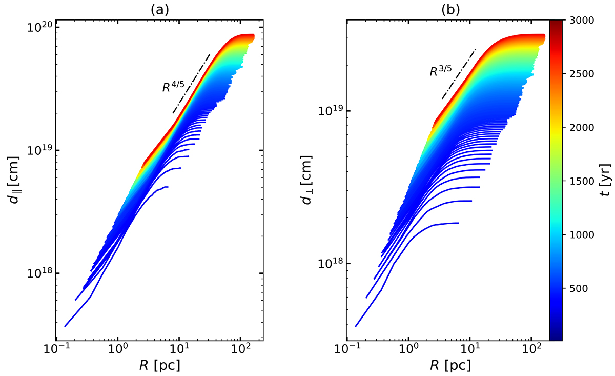
Root mean square of the parallel deviations of particles (panel a) and the perpendicular one (panel b) as a function of the diffusion radius R, plotted the non-loss case of E = 1 TeV with γ = 5/3 and MA = 0.51, where the color bar shows the simulation time in units of yr.

Current usage metrics show cumulative count of Article Views (full-text article views including HTML views, PDF and ePub downloads, according to the available data) and Abstracts Views on Vision4Press platform.

Data correspond to usage on the plateform after 2015. The current usage metrics is available 48-96 hours after online publication and is updated daily on week days.

Initial download of the metrics may take a while.