Open Access

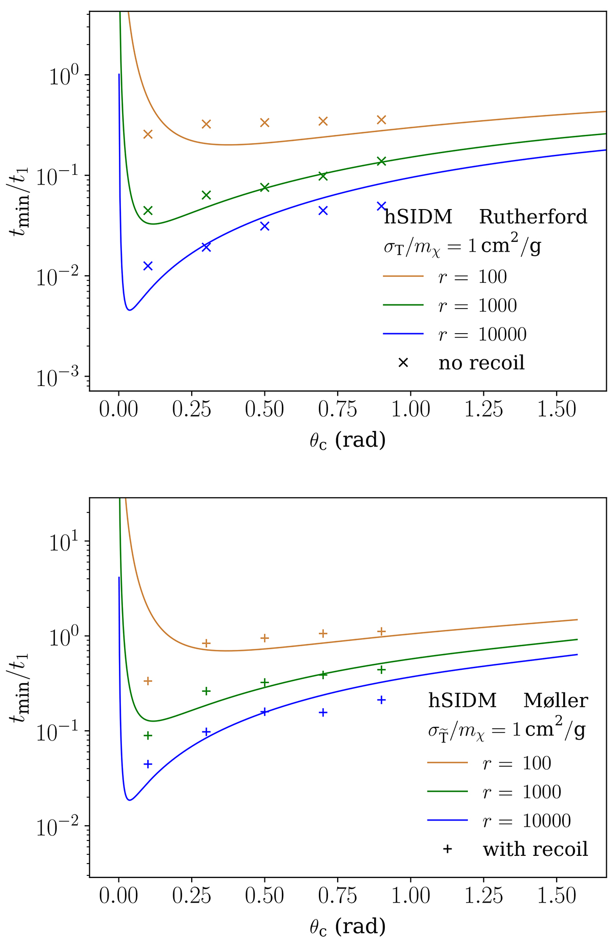
Fig. A.5.

image

Download original image

Minimal timescale tmin(θc) after which the hSIDM approach is applicable (extracted from the deflection test set-up). The symbols are derived from a comparison of numerical solutions using the hSIDM scheme with the result obtained when using the numerically expensive explicit sampling technique for all scattering angles (anisotropic rSIDM scheme). We show results for θc = 0.1, 0.3, 0.5, 0.7, 0.9, and for differential cross sections with anisotropy parameter r = 102, 103, 104, respectively. We furthermore consider the case without recoil and with ‘Rutherford’ scattering cross section (upper panel) as well we the case with recoil and with ‘Møller’ cross section (lower panel). Solid lines show the dependence of the analytical prediction Eq. (35) for tmin(θc) on θc and on r.

Current usage metrics show cumulative count of Article Views (full-text article views including HTML views, PDF and ePub downloads, according to the available data) and Abstracts Views on Vision4Press platform.

Data correspond to usage on the plateform after 2015. The current usage metrics is available 48-96 hours after online publication and is updated daily on week days.

Initial download of the metrics may take a while.