Open Access

Fig. A.6.

image

Download original image

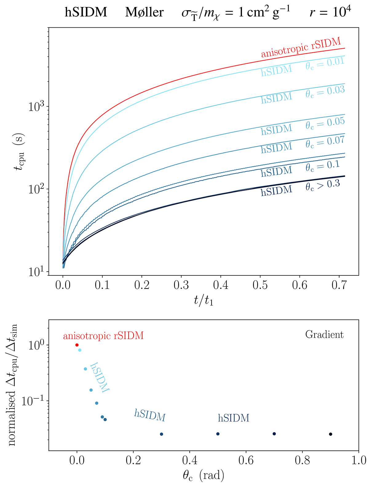
Performance gain of the hybrid scheme (hSIDM) developed in this work for taking the angle dependence of DM self-scattering (characteristic for e.g. light mediator models) into account in N-body simulations. We show the CPU run-time tcpu (executed on a single CPU only) required for advancing the deflection test problem up to physical simulation time t (in units of the typical reference timescale t1) in the upper panel. The red line corresponds to the naive scheme for which scatterings by all angles are sampled from dσ/dΩ (anisotropic rSIDM). The CPU-time within the hSIDM approach is shown for runs with various values of the critical angle θc used to separate effective small- and explicit large-angle regimes. The CPU-time is reduced by almost a factor 100 for θc ∼ 0.3, and already significantly smaller for θc ∼ 0.1. The lower panel shows the amount of CPU run-time Δtcpu required to simulate a given physical simulation time interval Δtsim, which is roughly t-independent. The y-axis is normalised to unity for the anisotropic rSIDM scheme. The CPU run-time decreases strongly for θc ≲ 0.1, and saturates for θc ∼ 0.3. For even larger critical angles, the numerical cost of the effective small-angle approach becomes relevant as compared to the explicit treatment of large-angle scatterings within hSIDM.

Current usage metrics show cumulative count of Article Views (full-text article views including HTML views, PDF and ePub downloads, according to the available data) and Abstracts Views on Vision4Press platform.

Data correspond to usage on the plateform after 2015. The current usage metrics is available 48-96 hours after online publication and is updated daily on week days.

Initial download of the metrics may take a while.