Open Access

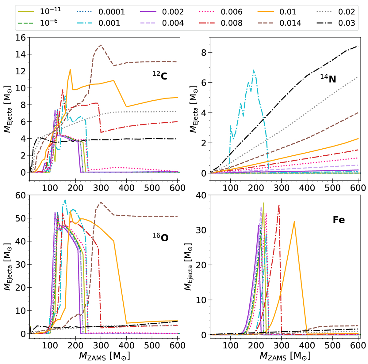
Fig. 8.

image

Download original image

Total amount of mass ejected for 4 species. Fe refers to the isotopes 52Fe through 51Fe and the 56Ni that decays into 56Fe. It is worth noting the peculiar behavior of 14N for Z = 0.001, resulting from the specific interplay between the dredge-up history and the final fate of these tracks (see text for more details).

Current usage metrics show cumulative count of Article Views (full-text article views including HTML views, PDF and ePub downloads, according to the available data) and Abstracts Views on Vision4Press platform.

Data correspond to usage on the plateform after 2015. The current usage metrics is available 48-96 hours after online publication and is updated daily on week days.

Initial download of the metrics may take a while.