Open Access

Fig. 11.

image

Download original image

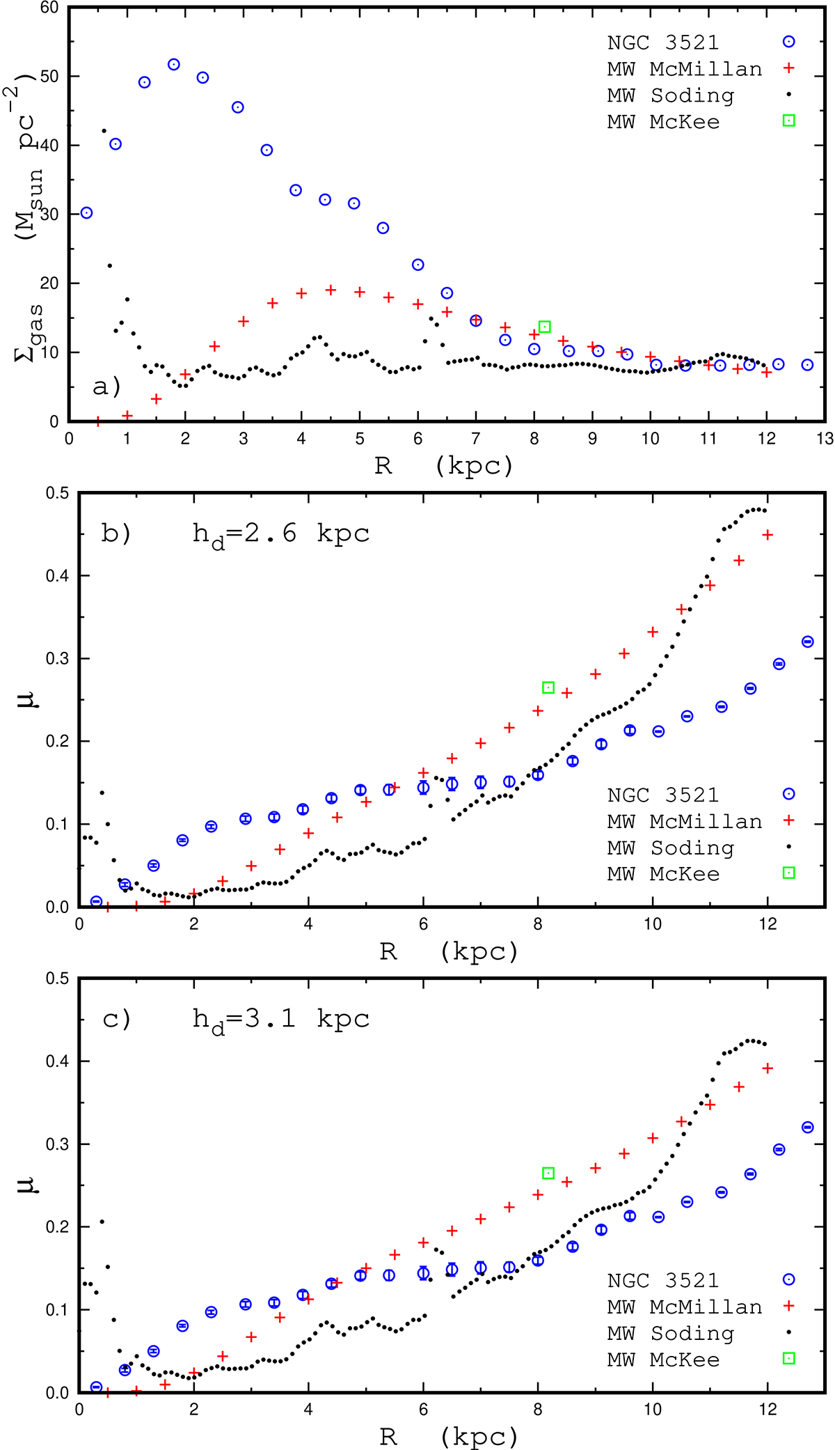
Comparison between the radial distributions of the gas mass surface density and the gas mass fraction in NGC 3521 and the Milky Way. Panel a: Radial distributions of the gas mass surface density in NGC 3521 and the Milky Way. The circles designate the gas mass surface densities in NGC 3521. The plus signs show the gas mass surface densities in the Milky Way from McMillan (2017). The points are the gas mass surface densities in the Milky Way from Söding et al. (2024). The square marks the gas mass surface density in the solar vicinity from McKee et al. (2015). Panel b: Radial distributions of the gas mass fraction in NGC 3521 and the Milky Way. The gas mass fractions in NGC 3521 are shown by the circles; the bars display the uncertainties (the bars are usually smaller than the symbol size). The gas mass fractions in the Milky Way were estimated with the stellar disc scale length of hd = 2.6 kpc and the gas mass surface densities shown in panel (a) . The notations are the same as in panel (a). Panel c: Same as panel (b), but for the stellar disc scale length of hd = 3.1 kpc.

Current usage metrics show cumulative count of Article Views (full-text article views including HTML views, PDF and ePub downloads, according to the available data) and Abstracts Views on Vision4Press platform.

Data correspond to usage on the plateform after 2015. The current usage metrics is available 48-96 hours after online publication and is updated daily on week days.

Initial download of the metrics may take a while.