Open Access

Fig. 6.

image

Download original image

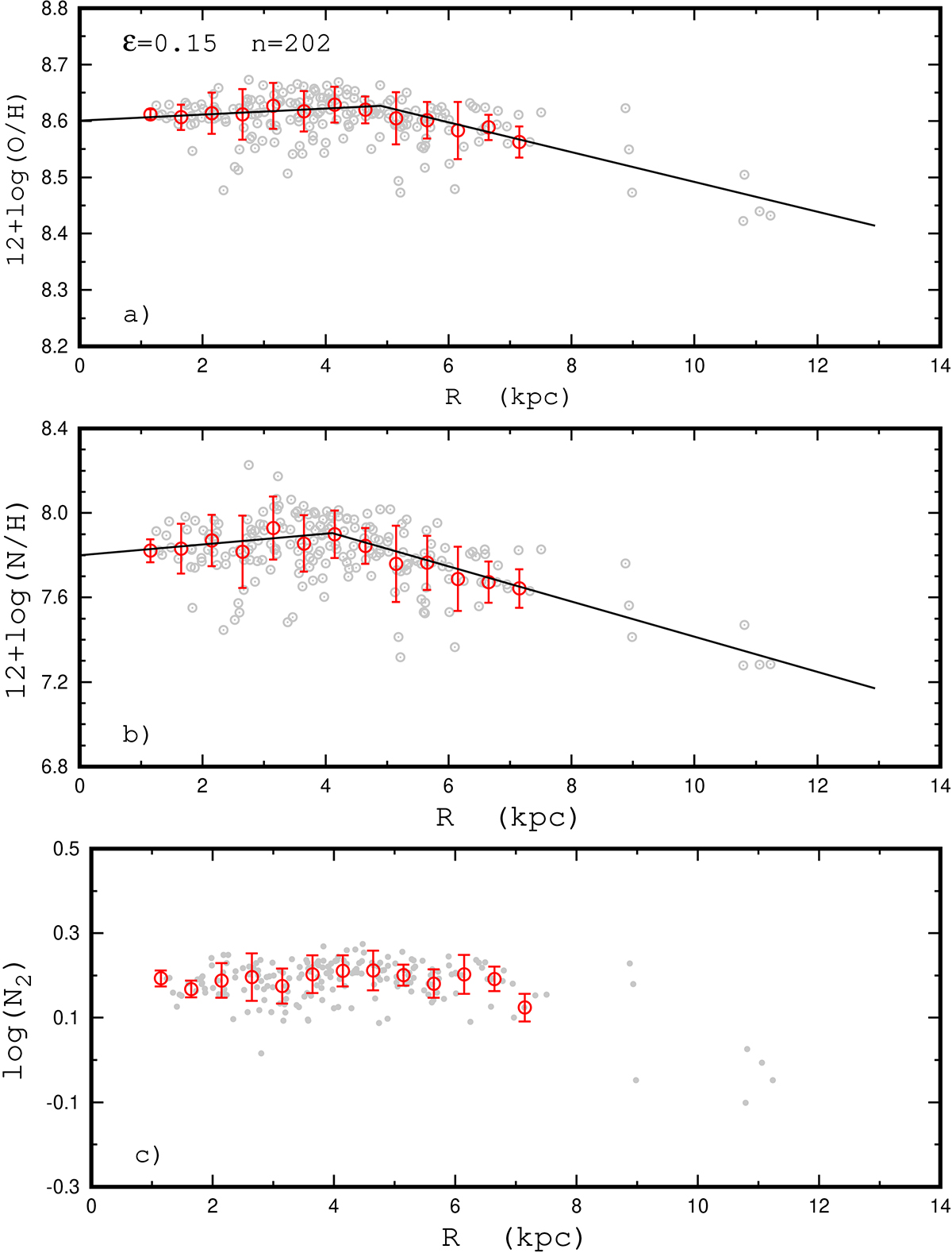
Abundance properties of NGC 3521 traced by the fibres where the line flux errors ε < 0.15. Panela: Radial oxygen abundance distribution. The grey circles denote the R calibration-based abundances for the individual fibres. The red circles denote the median values of the oxygen abundances in bins of 0.5 kpc in radius, and the bars show the scatter in O/H around the median value of each bin. The line shows the O/H – R relation for the case of ε< 0.30 (from panel (a) of Fig. 4). Panelb: Same as panel (a), but for the nitrogen abundances. Panelc: Intensity of the emission nitrogen line N2 as a function of radius. The notations are as in panel (a).

Current usage metrics show cumulative count of Article Views (full-text article views including HTML views, PDF and ePub downloads, according to the available data) and Abstracts Views on Vision4Press platform.

Data correspond to usage on the plateform after 2015. The current usage metrics is available 48-96 hours after online publication and is updated daily on week days.

Initial download of the metrics may take a while.