Open Access

Fig. 8

image

Download original image

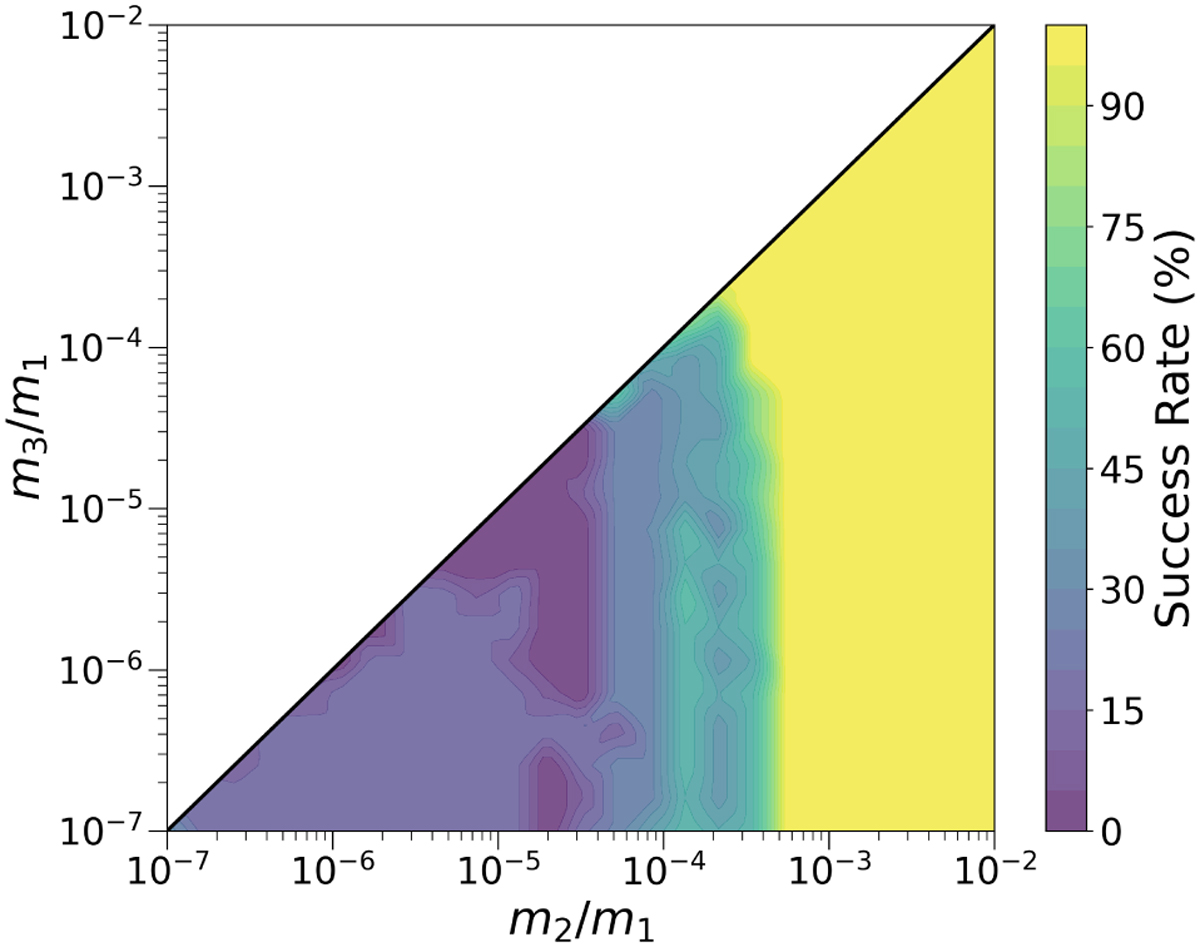
Illustration of the limitations of the Singlepoly algorithm. For this analysis, five lens configurations were selected with separations between 0.2 and 1.2, and the mass ratio parameters were varied keeping m3 < m2 < m1. For each configuration five source trajectories were tested, and the success rate of the Singlepoly algorithm was evaluated. The figure clearly shows that the Singlepoly algorithm fails when both mass ratios are on the order of 10−4 or lower.

Current usage metrics show cumulative count of Article Views (full-text article views including HTML views, PDF and ePub downloads, according to the available data) and Abstracts Views on Vision4Press platform.

Data correspond to usage on the plateform after 2015. The current usage metrics is available 48-96 hours after online publication and is updated daily on week days.

Initial download of the metrics may take a while.