Open Access

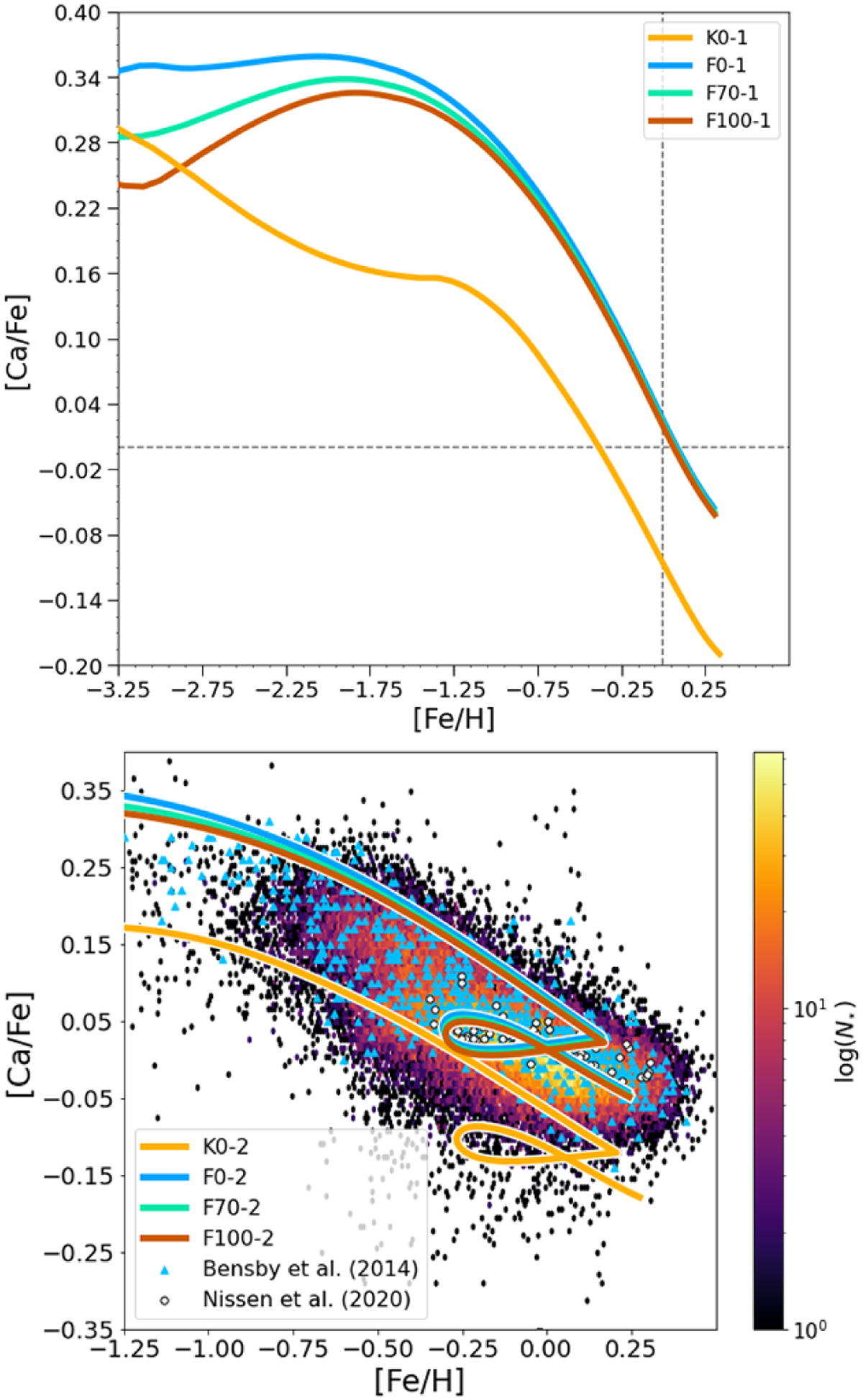
Fig. 5

image

Download original image

[Ca/Fe] vs. [Fe/H] ratios for different models. Upper and lower panel are the same as in Fig. 2 but for [Ca/Fe]. Data are from Bensby et al. (2014, blue triangles), Nissen et al. (2020, white points) and (Abdurro’uf et al. 2022, colored according to their number density; see color bar).

Current usage metrics show cumulative count of Article Views (full-text article views including HTML views, PDF and ePub downloads, according to the available data) and Abstracts Views on Vision4Press platform.

Data correspond to usage on the plateform after 2015. The current usage metrics is available 48-96 hours after online publication and is updated daily on week days.

Initial download of the metrics may take a while.