Press Release
Open Access

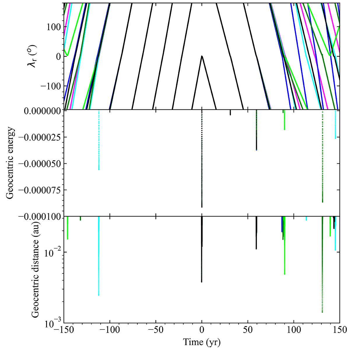
Fig. C.2.

image

Download original image

Short-term evolution and capture episode of 2024 PT5. The panels show the evolution of the values of relevant parameters over the time interval (−150, 150) yr around the current epoch. Top panel: Time evolution of the relative mean longitude. Middle panel: Time evolution of the geocentric energy that focuses on negative values. Bottom panel: Time evolution of the geocentric distance that focuses on values under 0.03 au. The evolution of the nominal orbit is shown in black, those of control orbits with state vectors separated ±1σ from the nominal ones in lime–green, ±2σ in cyan–blue, and ±3σ in fuchsia–crimson. The unit of energy is such that the unit of mass is 1 M, the unit of distance is 1 au, and the unit of time is one sidereal year divided by 2π. The output interval is 0.36525 d. The origin of time is epoch 2460600.5 (2024-Oct-17.0) TDB.

Current usage metrics show cumulative count of Article Views (full-text article views including HTML views, PDF and ePub downloads, according to the available data) and Abstracts Views on Vision4Press platform.

Data correspond to usage on the plateform after 2015. The current usage metrics is available 48-96 hours after online publication and is updated daily on week days.

Initial download of the metrics may take a while.