Open Access

Fig. 4

image

Download original image

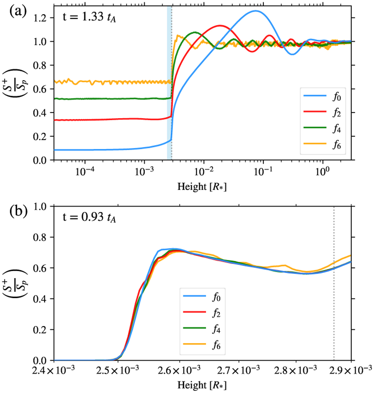
Wave propagation through the transition region. Panel a shows the normalized incoming WAF (S+) profiles for four different frequencies, namely f0, f2, f4, and f6 at t = 1.33 tA, highlighting a frequency dependent transmission of the WAF through the TR. Panel b shows a zoomed in view of the WAF for the same frequencies just after the waves cross the TR (t = 0.93 tA). The entire extent of the abscissa in panel b is highlighted by the light blue strip in panel a.

Current usage metrics show cumulative count of Article Views (full-text article views including HTML views, PDF and ePub downloads, according to the available data) and Abstracts Views on Vision4Press platform.

Data correspond to usage on the plateform after 2015. The current usage metrics is available 48-96 hours after online publication and is updated daily on week days.

Initial download of the metrics may take a while.