Open Access

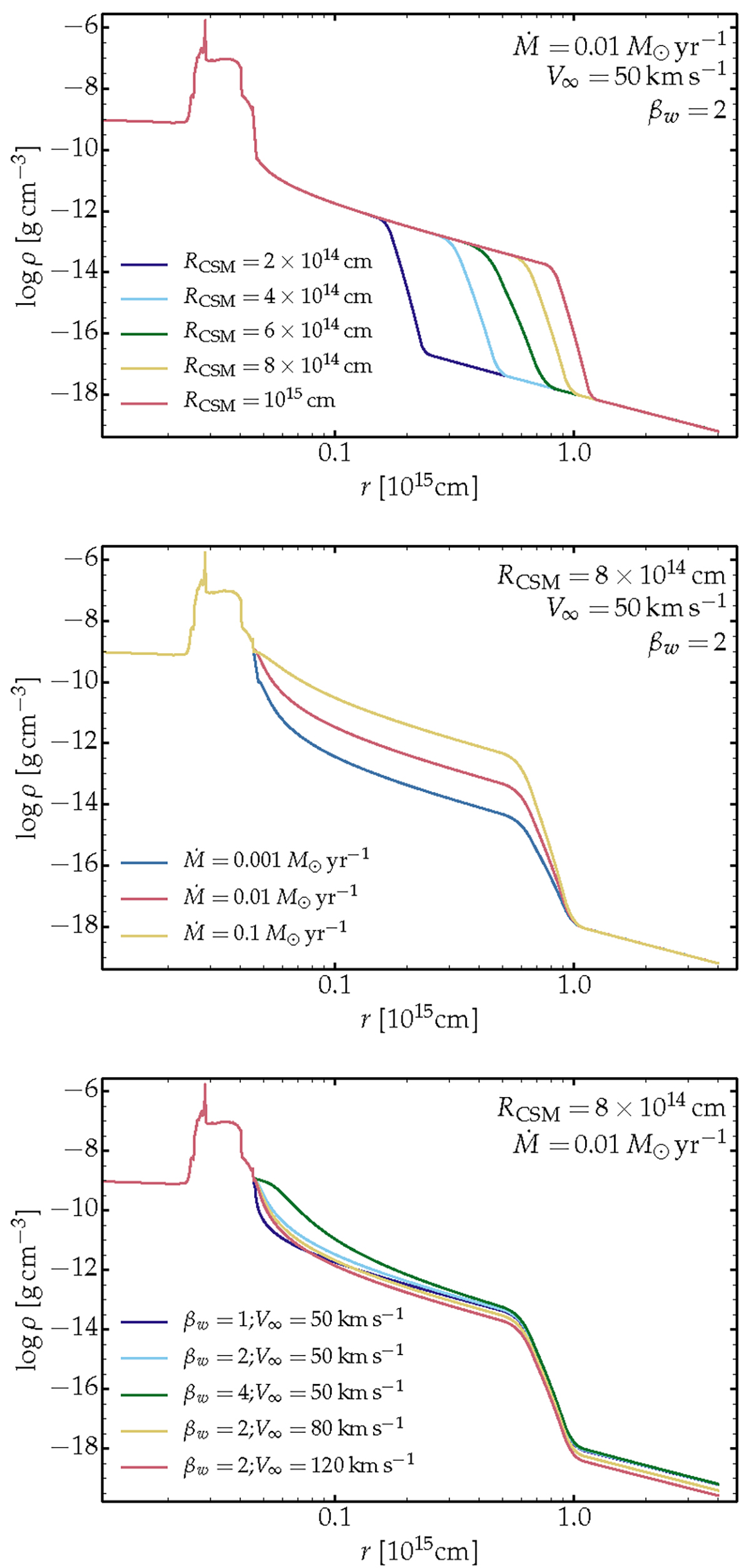
Fig. 1.

image

Download original image

Radial profiles of the mass density used as initial conditions for our radiation-hydrodynamics calculations. From top to bottom, we show groups of models varying in RCSM, , and wind velocity profile (i.e., βw and V). Radial profiles of the velocity are shown for the last model group in the right panel of Fig. A.4. See Sect. 2.1 and Table 1 for additional information.

Current usage metrics show cumulative count of Article Views (full-text article views including HTML views, PDF and ePub downloads, according to the available data) and Abstracts Views on Vision4Press platform.

Data correspond to usage on the plateform after 2015. The current usage metrics is available 48-96 hours after online publication and is updated daily on week days.

Initial download of the metrics may take a while.