Open Access

Fig. A.4.

image

Download original image

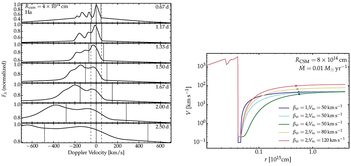
Left: Same as Fig. 10, but for the model counterpart with a greater RCSM value of 4 × 1014 cm. Right: Illustration of the velocity profile versus radius for the models discussed in Sect. 4.3 and whose density profiles are shown in the bottom panel of Fig. 1.

Current usage metrics show cumulative count of Article Views (full-text article views including HTML views, PDF and ePub downloads, according to the available data) and Abstracts Views on Vision4Press platform.

Data correspond to usage on the plateform after 2015. The current usage metrics is available 48-96 hours after online publication and is updated daily on week days.

Initial download of the metrics may take a while.