Open Access

Fig. 9.

image

Download original image

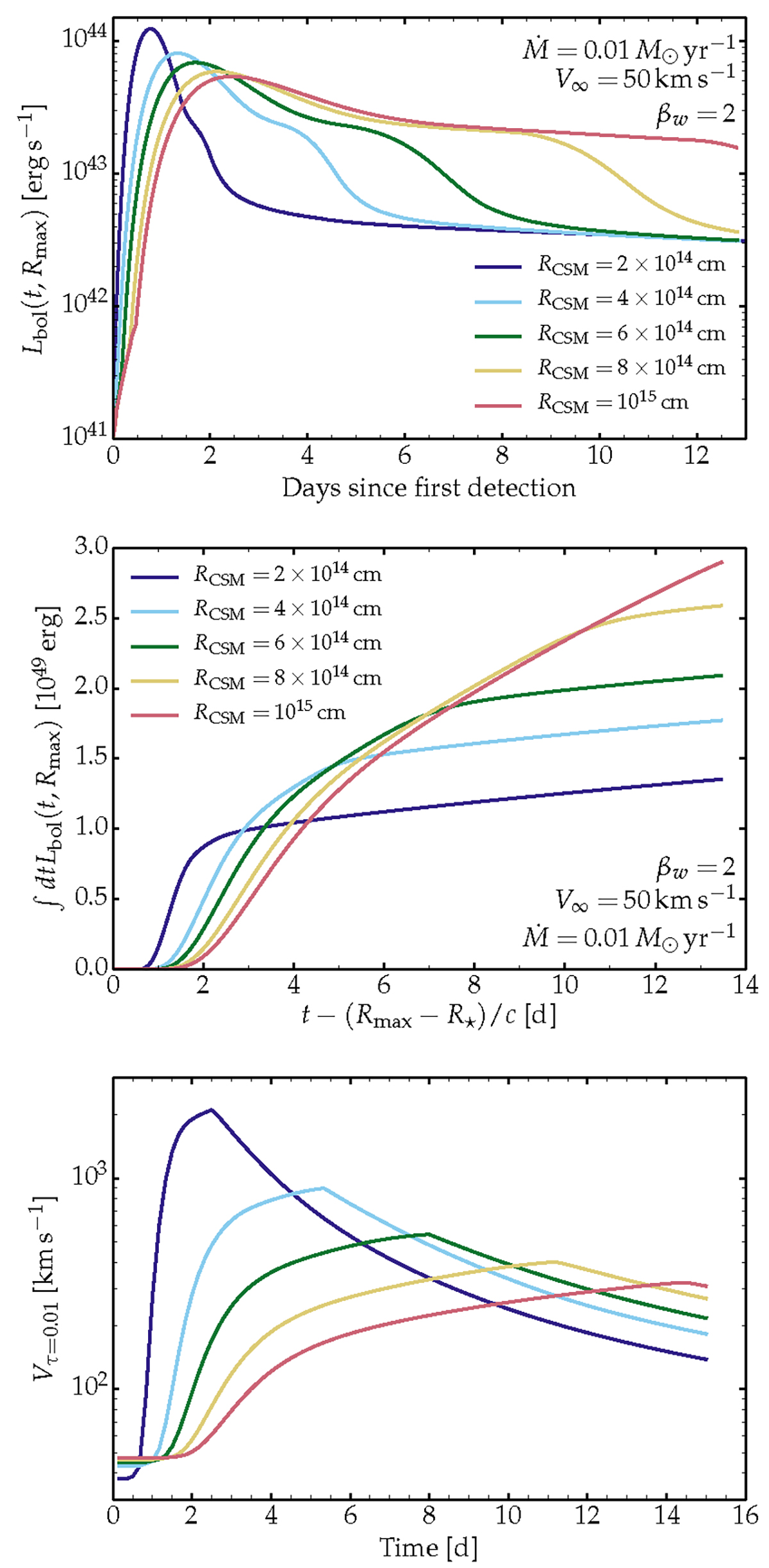
Results from the radiation-hydrodynamics calculations for models differing in RCSM. Top: Bolometric luminosity recorded at the outer boundary and starting when the power exceeds 1041 erg s−1. Middle: Same as top for the cumulative bolometric luminosity. Here, we use the HERACLES time modified for the light-travel time to the outer boundary. Bottom: Evolution of the velocity at the location in the unshocked CSM where the electron-scattering optical depth is 0.01. When that location is shocked, we report the velocity at the radius immediately exterior to the shock.

Current usage metrics show cumulative count of Article Views (full-text article views including HTML views, PDF and ePub downloads, according to the available data) and Abstracts Views on Vision4Press platform.

Data correspond to usage on the plateform after 2015. The current usage metrics is available 48-96 hours after online publication and is updated daily on week days.

Initial download of the metrics may take a while.