Open Access

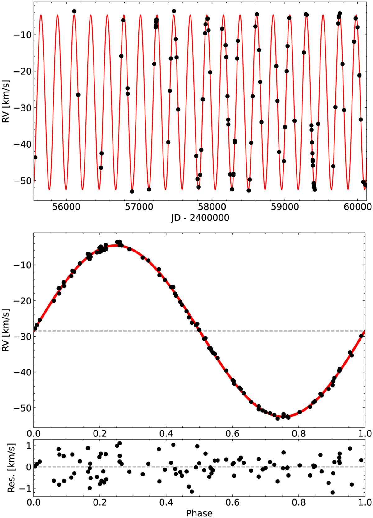
Fig. 1

image

Download original image

Radial velocities of T CrB. The error bars are plotted as well, but they are smaller than the symbol size of the data points. Top: RV curve as a function of time. Middle: phase-folded orbit of T CrB. The full red line is the Keplerian orbit. Bottom: residual values.

Current usage metrics show cumulative count of Article Views (full-text article views including HTML views, PDF and ePub downloads, according to the available data) and Abstracts Views on Vision4Press platform.

Data correspond to usage on the plateform after 2015. The current usage metrics is available 48-96 hours after online publication and is updated daily on week days.

Initial download of the metrics may take a while.