Open Access

Fig. 6

image

Download original image

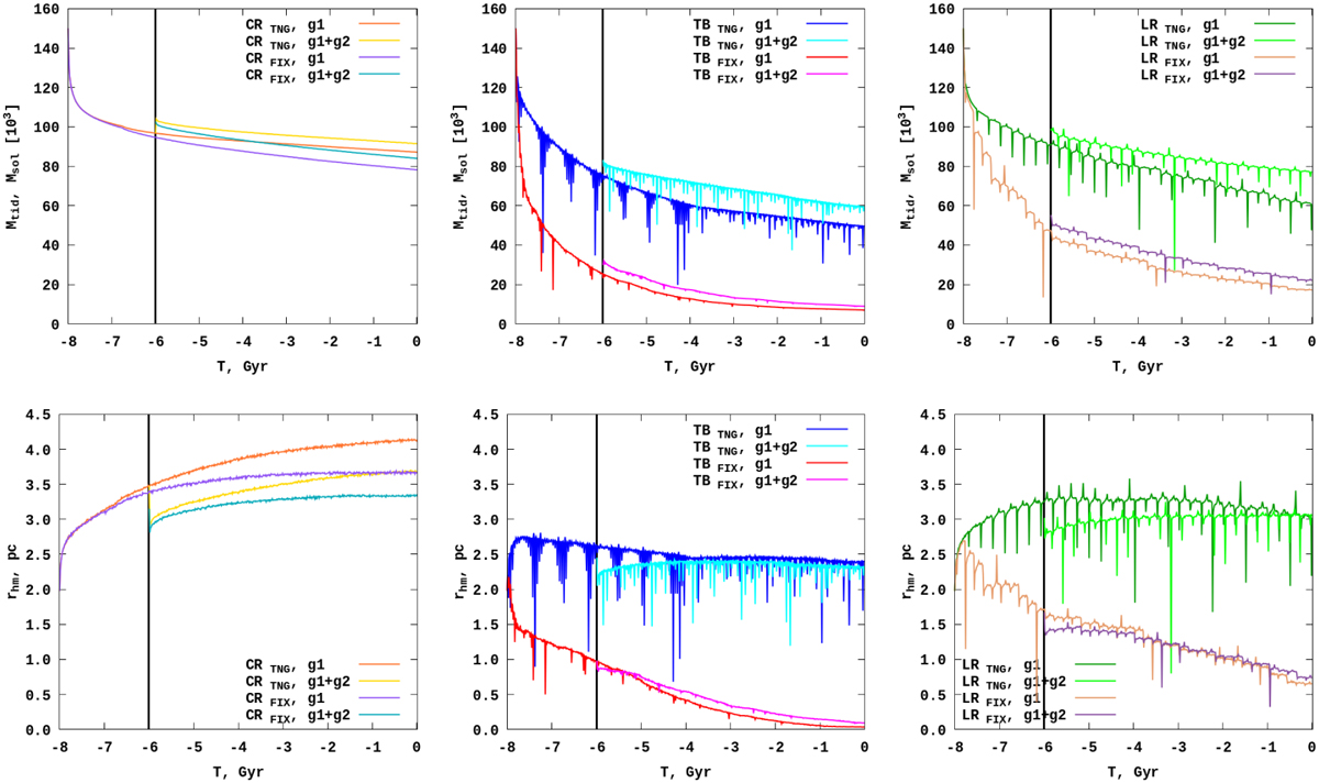
Evolution of the GC physical parameters as a function of time: tidal mass (upper panels), and half-mass radii (bottom panels). The left, middle, and right columns show GCs on circular, tube, and radial orbits, respectively. The black vertical line gives the time when the ɡ2 generation is added to the GCs.

Current usage metrics show cumulative count of Article Views (full-text article views including HTML views, PDF and ePub downloads, according to the available data) and Abstracts Views on Vision4Press platform.

Data correspond to usage on the plateform after 2015. The current usage metrics is available 48-96 hours after online publication and is updated daily on week days.

Initial download of the metrics may take a while.