Open Access

Fig. A.2

image

Download original image

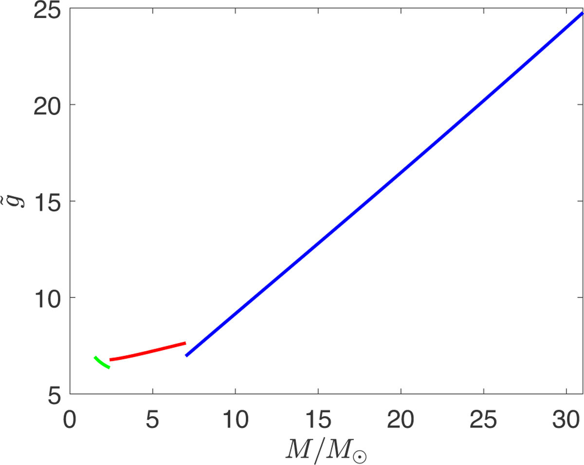
Same as Fig. A.1 but for the stratification parameter 𝑔˜${\tilde g}$ as a function of the mass M (in units of solar mass M) for a fixed value of zt such that zt/R = 1/35.

Current usage metrics show cumulative count of Article Views (full-text article views including HTML views, PDF and ePub downloads, according to the available data) and Abstracts Views on Vision4Press platform.

Data correspond to usage on the plateform after 2015. The current usage metrics is available 48-96 hours after online publication and is updated daily on week days.

Initial download of the metrics may take a while.