Open Access

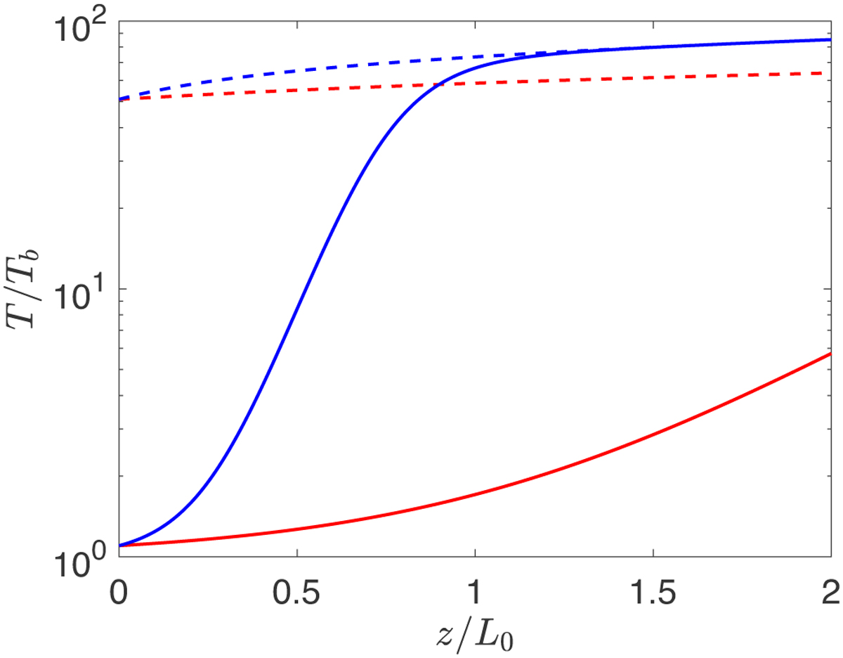
Fig. 5

image

Download original image

Comparison between the temperature profiles already shown in Figs. 3 and 4 (solid curves) and the temperature profiles obtained using the same parameters but setting A = 1 (dashed curves). Blue curves refer to the case of a Sun-like corona and red curves to the case in which there is not a Sun-like corona.

Current usage metrics show cumulative count of Article Views (full-text article views including HTML views, PDF and ePub downloads, according to the available data) and Abstracts Views on Vision4Press platform.

Data correspond to usage on the plateform after 2015. The current usage metrics is available 48-96 hours after online publication and is updated daily on week days.

Initial download of the metrics may take a while.