Open Access

Fig. 8

image

Download original image

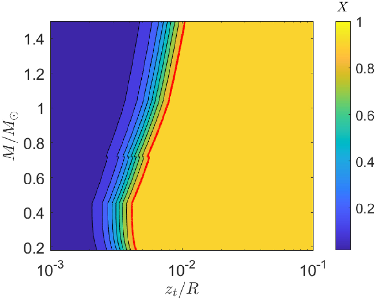
Contour plot of X as defined in Eq. (12), computed for low-mass stars (that is, M ∈ [0.179 M,1.5 M]). X is plotted as a function of the star mass M in units of solar mass M and of the top height of the loop zt scaled by the star radius R. The red line corresponds to X = 0.9, the threshold separating the regime without a Sun-like corona (X < 0.9, bluish colours) from that where there is a Sun-like corona (X > 0.9, yellowish colours).

Current usage metrics show cumulative count of Article Views (full-text article views including HTML views, PDF and ePub downloads, according to the available data) and Abstracts Views on Vision4Press platform.

Data correspond to usage on the plateform after 2015. The current usage metrics is available 48-96 hours after online publication and is updated daily on week days.

Initial download of the metrics may take a while.