Open Access

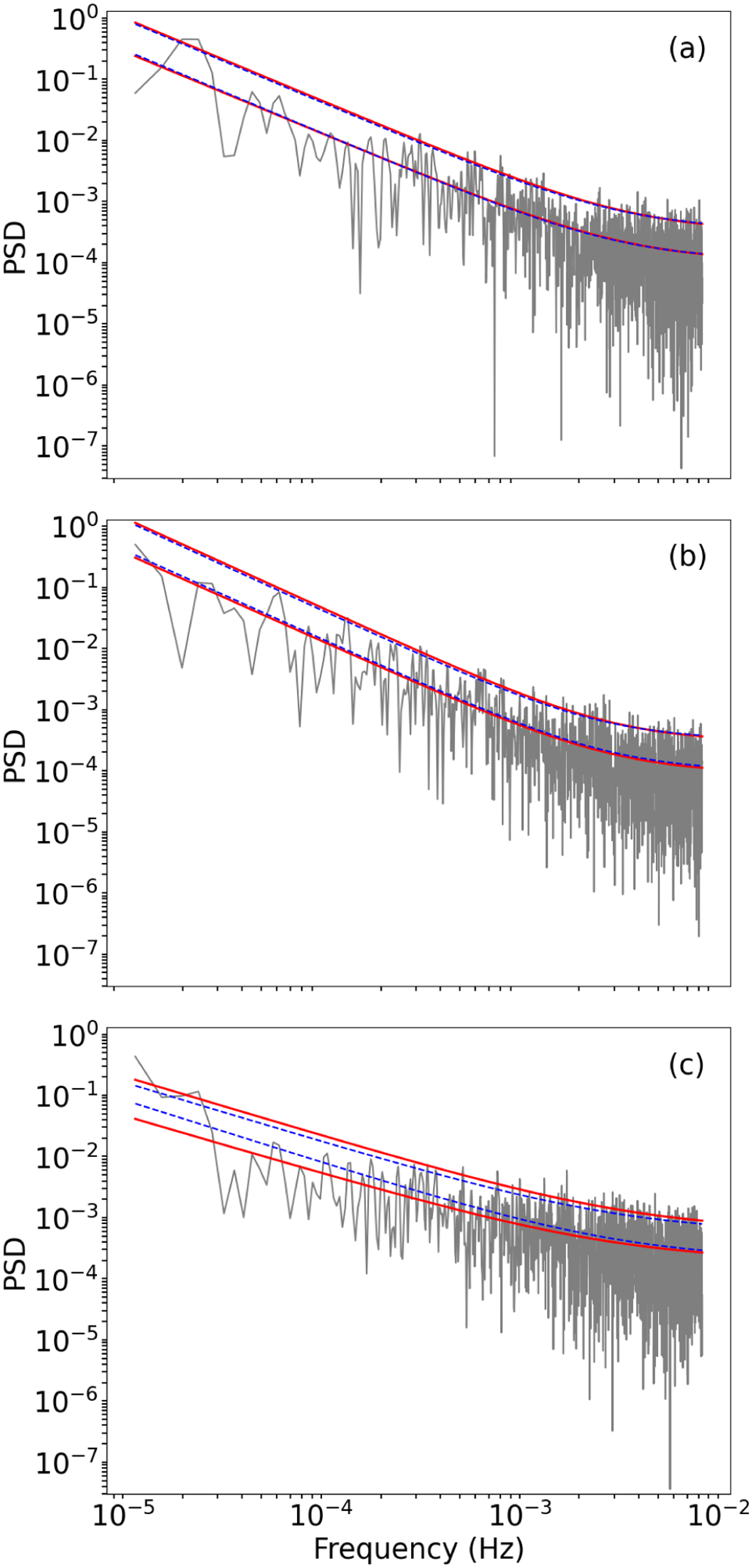
Fig. 5

image

Download original image

Periodograms with the predicted best-fit and 95% confidence curves from the test dataset, highlighted as red dots (1), (2), and (3) in Fig. 4. Panel a: Region (1) with the smaller errors. Panel b: Region (2) with average errors. Panel c: Region (3) with the highest errors.

Current usage metrics show cumulative count of Article Views (full-text article views including HTML views, PDF and ePub downloads, according to the available data) and Abstracts Views on Vision4Press platform.

Data correspond to usage on the plateform after 2015. The current usage metrics is available 48-96 hours after online publication and is updated daily on week days.

Initial download of the metrics may take a while.