Open Access

Fig. 5

image

Download original image

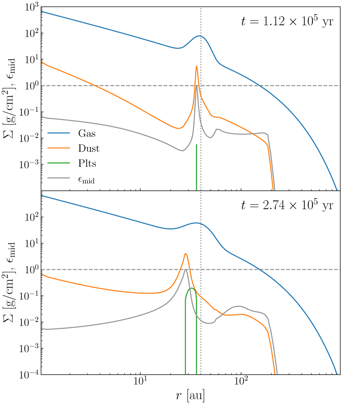
Radial surface density distributions of gas, dust, and planetesimals, as well as the midplane dust-to-gas ratio ϵmid for the fiducial simulation at the start (top) and end (bottom) of planetesimal formation. The vertical dotted gray line indicates rinfall = 40 au. The horizontal dashed gray lines represent ϵmid = 1.

Current usage metrics show cumulative count of Article Views (full-text article views including HTML views, PDF and ePub downloads, according to the available data) and Abstracts Views on Vision4Press platform.

Data correspond to usage on the plateform after 2015. The current usage metrics is available 48-96 hours after online publication and is updated daily on week days.

Initial download of the metrics may take a while.