Open Access

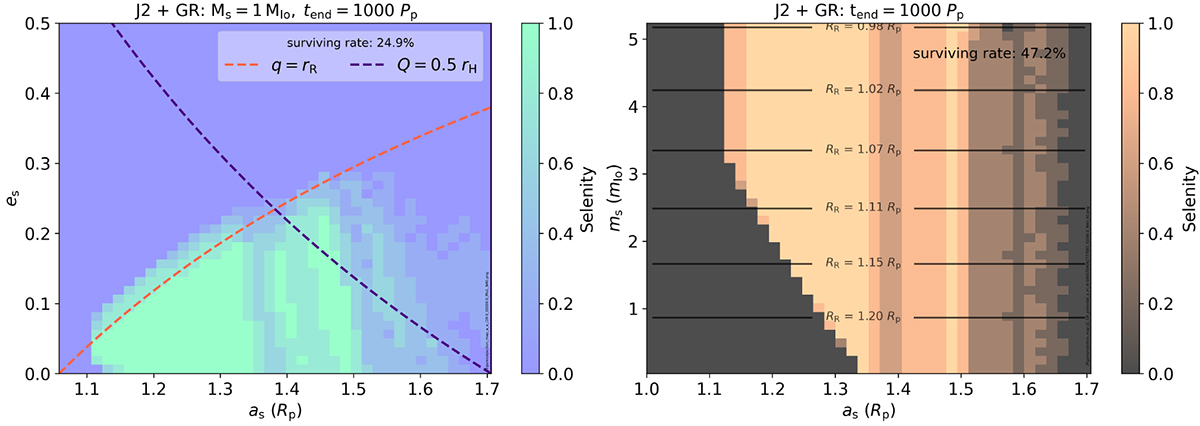
Fig. 1.

image

Download original image

Stability maps illustrating survival and ejection probabilities for exomoons orbiting a close-in giant planet, factoring in the planet’s J2 quadrupole moment and relativistic corrections over 1000 Pp. The colour scale indicates the selenity, which shows the moon’s likelihood of remaining bound to the planet under external perturbations. The left panel shows stability in the as − es plane, with the Roche limit and Hill radius as key markers. The right panel displays stability in the as − Ms plane, reflecting stability variations based on satellite mass and planet distance.

Current usage metrics show cumulative count of Article Views (full-text article views including HTML views, PDF and ePub downloads, according to the available data) and Abstracts Views on Vision4Press platform.

Data correspond to usage on the plateform after 2015. The current usage metrics is available 48-96 hours after online publication and is updated daily on week days.

Initial download of the metrics may take a while.