Open Access

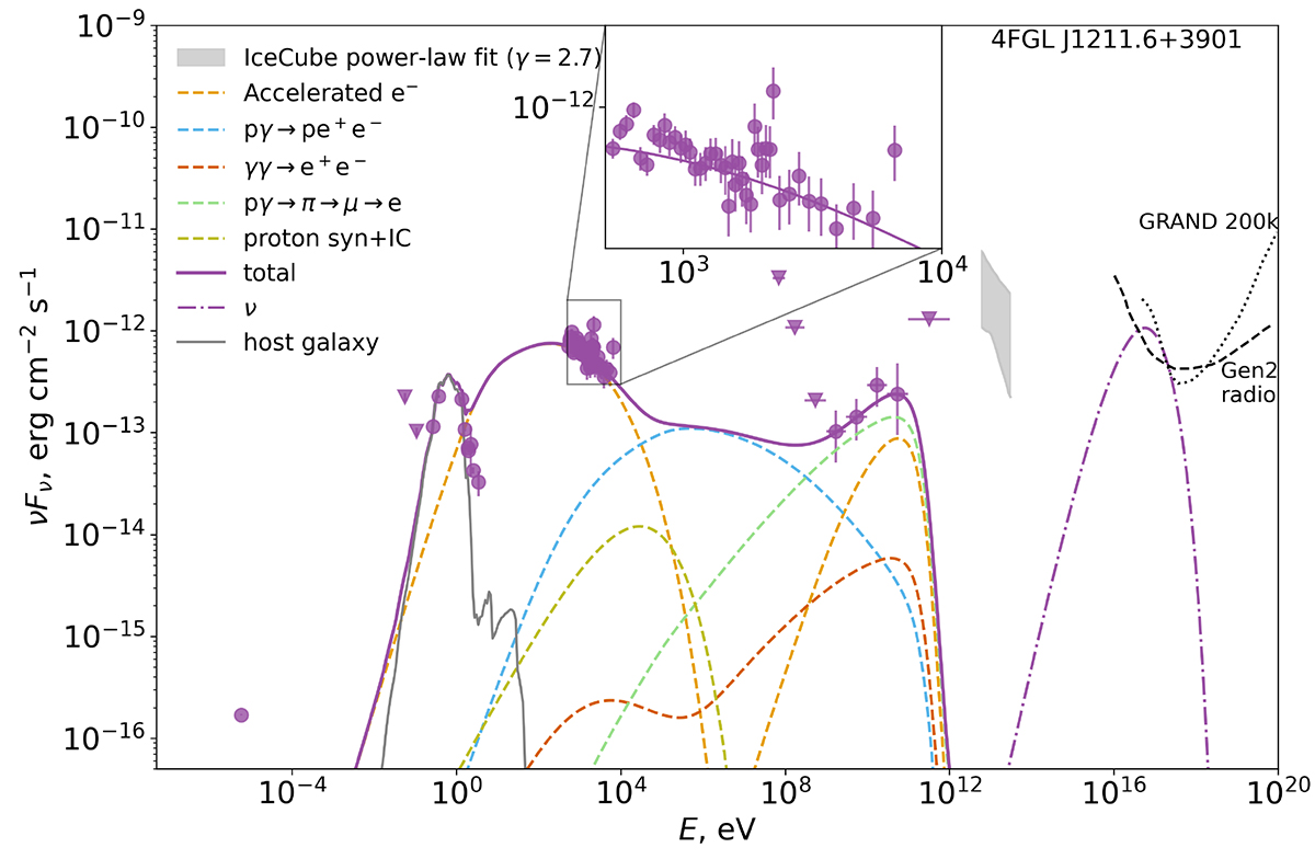
Fig. 4.

image

Download original image

Leptohadronic model for 4FGL J1211.6+3901. The solid purple line corresponds to the multiwavelength photon emission. The components are shown with the dashed line. The dash-dotted purple line corresponds to the all-flavor neutrino spectrum. The gray shaded area is a neutrino flux from NGC 4151 under the assumption of a power law with spectral index γ = 2.7 (Abbasi et al. 2024a). The dash-dotted black line shows the 10-year sensitivity of the IceCube-Gen2 optical array (Aartsen et al. 2021), the dashed black line the – 10-year all-flavor sensitivity of the IceCube-Gen2 radio array (Aartsen et al. 2021), and dotted black line the – 10-year all-flavor sensitivity of GRAND 200k (Álvarez-Muñiz et al. 2020).

Current usage metrics show cumulative count of Article Views (full-text article views including HTML views, PDF and ePub downloads, according to the available data) and Abstracts Views on Vision4Press platform.

Data correspond to usage on the plateform after 2015. The current usage metrics is available 48-96 hours after online publication and is updated daily on week days.

Initial download of the metrics may take a while.