Press Release
Open Access

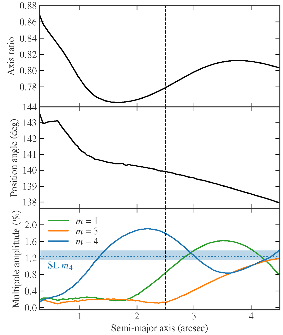
Fig. 4.

image

Download original image

Properties of the lens galaxy isophotes as a function of the elliptical semi-major axis. Top panel: the axis ratio, q = b/a, middle panel: the position angle of the major axis, bottom panel: the total amplitude of multipole perturbations of orders m = 1, 3, 4. The multipole perturbations are formulated such that a positive order m = 4 amplitude produces boxiness. The dotted horizontal line and shaded area indicate the median m = 4 amplitude measured by the lens modelling only, and its uncertainty respectively. The vertical dashed line indicates the elliptical radius at the critical curve, equivalent to the Einstein radius.

Current usage metrics show cumulative count of Article Views (full-text article views including HTML views, PDF and ePub downloads, according to the available data) and Abstracts Views on Vision4Press platform.

Data correspond to usage on the plateform after 2015. The current usage metrics is available 48-96 hours after online publication and is updated daily on week days.

Initial download of the metrics may take a while.