Open Access

Fig. 1

image

Download original image

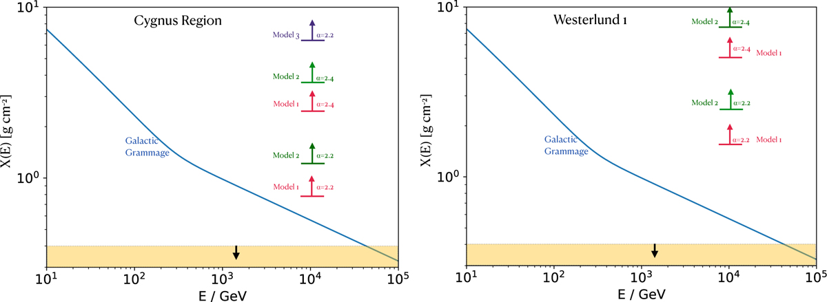
Lower limits to the grammage inferred for the Cygnus region (left) and Westerlund 1 (right) if the observed gamma rays are of hadronic origin in three models of gamma ray production as described in the text. These limits are shown together with an up-to-date computation of the Galactic CR grammage inferred from secondary/primary ratios (Schroer et al. 2021). The yellow shadowed region shows the maximum source grammage still compatible with secondary to primary ratios (≃0.4 g cm–2).

Current usage metrics show cumulative count of Article Views (full-text article views including HTML views, PDF and ePub downloads, according to the available data) and Abstracts Views on Vision4Press platform.

Data correspond to usage on the plateform after 2015. The current usage metrics is available 48-96 hours after online publication and is updated daily on week days.

Initial download of the metrics may take a while.