Open Access

Fig. 3

image

Download original image

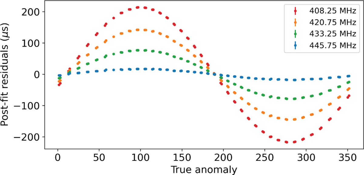
Timing variations simulated by PSRSIGSIM software as a function of a true anomaly for 4×12.5 MHz sub-bands covering a 50 MHz band centered at 427 MHz. The setup repeats the one used in the Ransom et al. (2004). The apparent variations in timing residuals have the same magnitude of ~200 µs as reported by Ransom et al. (2004).

Current usage metrics show cumulative count of Article Views (full-text article views including HTML views, PDF and ePub downloads, according to the available data) and Abstracts Views on Vision4Press platform.

Data correspond to usage on the plateform after 2015. The current usage metrics is available 48-96 hours after online publication and is updated daily on week days.

Initial download of the metrics may take a while.