Open Access

Fig. C.1

image

Download original image

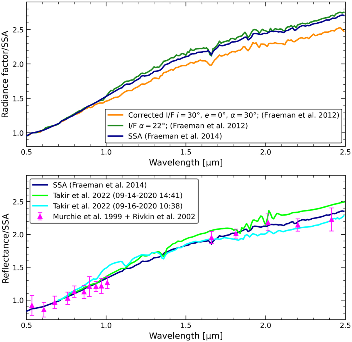
(Top) Comparison between the single-scattering albedo (SSA) spectrum of Deimos (Fraeman et al. 2014) and the radiance factor spectra (corrected and uncorrected) of Deimos (Fraeman et al. 2012). The corrected radiance factor spectrum was corrected using the Hapke model (Fraeman et al. 2012). (Bottom) Comparison between the SSA spectrum of Deimos (Fraeman et al. 2014) and the obtained by Murchie (1999); Rivkin et al. (2002); Takir et al. (2022). As the spectra of Takir et al. (2022) do not cover the 0.5 - 0.65 µm, we have chosen to normalize at 0.7 µm for this figure.

Current usage metrics show cumulative count of Article Views (full-text article views including HTML views, PDF and ePub downloads, according to the available data) and Abstracts Views on Vision4Press platform.

Data correspond to usage on the plateform after 2015. The current usage metrics is available 48-96 hours after online publication and is updated daily on week days.

Initial download of the metrics may take a while.