Open Access

Fig. 1.

image

Download original image

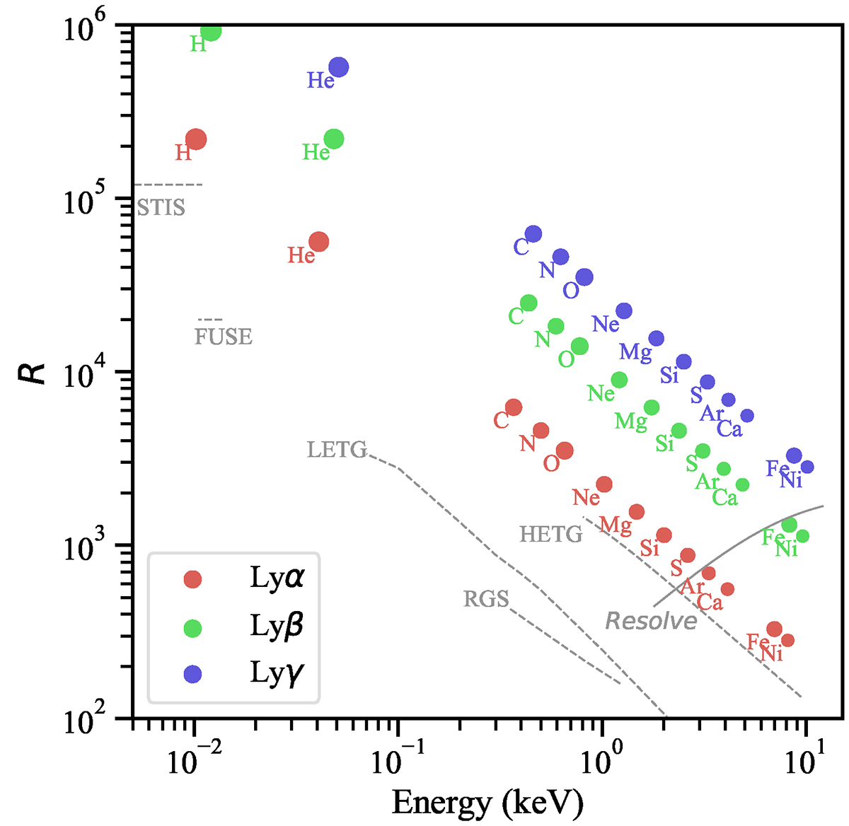
Required resolving power (R  ≡  EE) for separating the Lyα1, 2 (red), β1, 2 (green), and γ1, 2 (blue) fine-structure doublets of major elements compared to the instrumental resolving power of the HST STIS (Kimble et al. 1998), FUSE (Moos et al. 2000), Chandra LETG (Brinkman et al. 2000) and HETG (Canizares et al. 2005), XMM-Newton RGS (Den Herder et al. 2001), and XRISM Resolve (Ishisaki et al. 2022) using the FWHM. The elements below the curves can be resolved with the spectrometer. The symbol size represents the logarithm of the solar abundance of the elements (Anders & Grevesse 1989).

Current usage metrics show cumulative count of Article Views (full-text article views including HTML views, PDF and ePub downloads, according to the available data) and Abstracts Views on Vision4Press platform.

Data correspond to usage on the plateform after 2015. The current usage metrics is available 48-96 hours after online publication and is updated daily on week days.

Initial download of the metrics may take a while.