Open Access

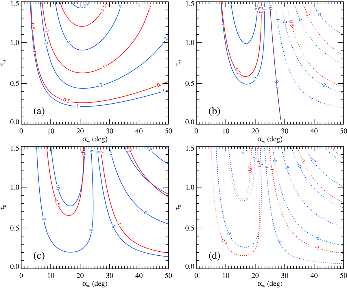
Fig. 10.

image

Download original image

Contours of the constant total PD (in %) on the plane τ0 − αw. The red and blue lines correspond to inclinations of i = 40° and 70°, respectively. The positive PD is shown with the solid lines and the negative PD with the dotted lines. The illuminating source is taken to be (a) isotropic, (b) a blackbody unpolarized disk, (c) Comptonization in a slab, and (d) an electron-scattering dominated disk. The intrinsic PD is zero in cases (a) and (b). In case (c), the intrinsic PD is 4.24% and 8.64% for the two inclinations 40° and 70°, and in case (d), it is −0.73% and −3.46%, respectively.

Current usage metrics show cumulative count of Article Views (full-text article views including HTML views, PDF and ePub downloads, according to the available data) and Abstracts Views on Vision4Press platform.

Data correspond to usage on the plateform after 2015. The current usage metrics is available 48-96 hours after online publication and is updated daily on week days.

Initial download of the metrics may take a while.