Open Access

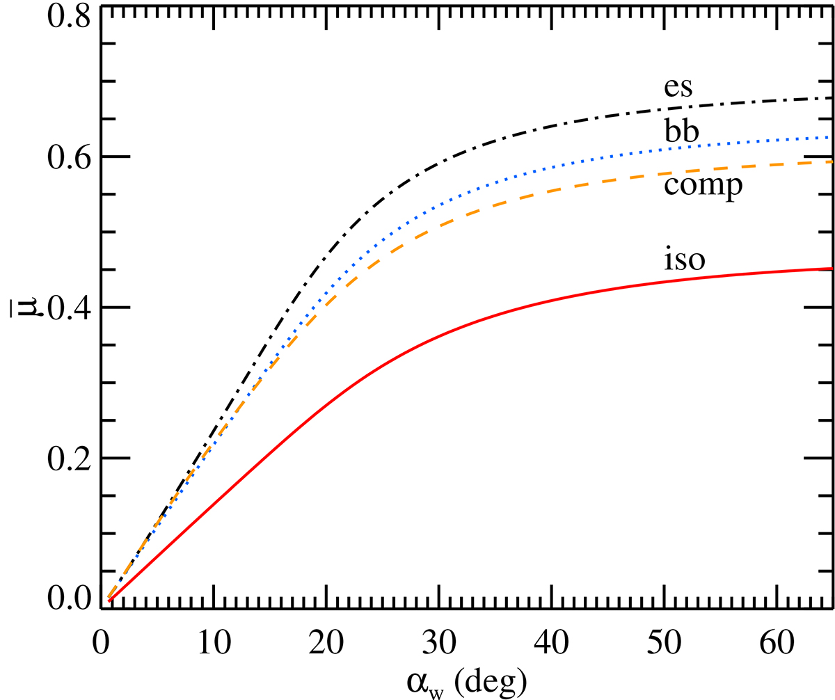
Fig. 4.

image

Download original image

Mean interaction angle as a function of the wind opening angle for the four emission patterns isotropic (solid red line), Comptonization (dashed orange), blackbody disk (dotted blue), and electron-scattering-dominated disk (dot-dashed black).

Current usage metrics show cumulative count of Article Views (full-text article views including HTML views, PDF and ePub downloads, according to the available data) and Abstracts Views on Vision4Press platform.

Data correspond to usage on the plateform after 2015. The current usage metrics is available 48-96 hours after online publication and is updated daily on week days.

Initial download of the metrics may take a while.