Open Access

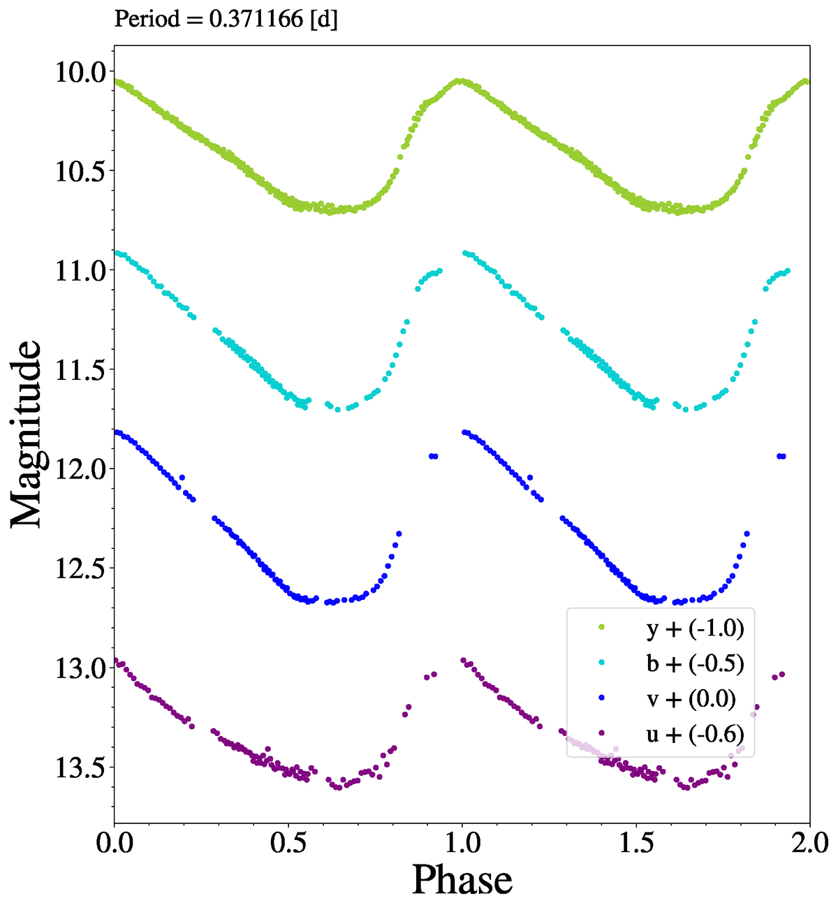
Fig. B.1.

image

Download original image

Light curves of HD 331986 in Strömgren ybvu filters. Magnitudes other than b are artificially shifted by the number indicated in the legend for the sake of a better representation in a single plot.

Current usage metrics show cumulative count of Article Views (full-text article views including HTML views, PDF and ePub downloads, according to the available data) and Abstracts Views on Vision4Press platform.

Data correspond to usage on the plateform after 2015. The current usage metrics is available 48-96 hours after online publication and is updated daily on week days.

Initial download of the metrics may take a while.